Suppr超能文献

单子叶天南星科单性和两性分支物种叶绿体基因组的比较

Comparison of Chloroplast Genomes among Species of Unisexual and Bisexual Clades of the Monocot Family Araceae.

作者信息

Henriquez Claudia L, Mehmood Furrukh, Shahzadi Iram, Ali Zain, Waheed Mohammad Tahir, Croat Thomas B, Poczai Peter, Ahmed Ibrar

机构信息

Department of Biochemistry, Faculty of Biological Sciences, Quaid-i-Azam University, Islamabad 45320, Pakistan.

Department of Ecology and Evolutionary Biology, University of California, Los Angeles, CA 90095, USA.

出版信息

Plants (Basel). 2020 Jun 11;9(6):737. doi: 10.3390/plants9060737.

Abstract

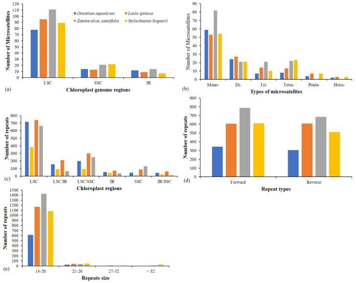
The chloroplast genome provides insight into the evolution of plant species. We de novo assembled and annotated chloroplast genomes of four genera representing three subfamilies of Araceae: (Lasioideae), , (Zamioculcadoideae), and (Orontioideae), and performed comparative genomics using these chloroplast genomes. The sizes of the chloroplast genomes ranged from 163,770 bp to 169,982 bp. These genomes comprise 113 unique genes, including 79 protein-coding, 4 rRNA, and 30 tRNA genes. Among these genes, 17-18 genes are duplicated in the inverted repeat (IR) regions, comprising 6-7 protein-coding (including trans-splicing gene 12), 4 rRNA, and 7 tRNA genes. The total number of genes ranged between 130 and 131. The A gene was found to be a pseudogene in all four genomes reported here. These genomes exhibited high similarities in codon usage, amino acid frequency, RNA editing sites, and microsatellites. The oligonucleotide repeats and junctions JSB (IRb/SSC) and JSA (SSC/IRa) were highly variable among the genomes. The patterns of IR contraction and expansion were shown to be homoplasious, and therefore unsuitable for phylogenetic analyses. Signatures of positive selection were seen in three genes in including 2, P, and 36. This study is a valuable addition to the evolutionary history of chloroplast genome structure in Araceae.

摘要

叶绿体基因组为了解植物物种的进化提供了线索。我们对天南星科三个亚科的四个属(犁头尖亚科的刺芋属、花叶芋亚科的花叶芋属、菖蒲亚科的石菖蒲属)的叶绿体基因组进行了从头组装和注释,并利用这些叶绿体基因组进行了比较基因组学研究。叶绿体基因组的大小在163,770 bp至169,982 bp之间。这些基因组包含113个独特基因,包括79个蛋白质编码基因、4个rRNA基因和30个tRNA基因。在这些基因中,17 - 18个基因在反向重复(IR)区域中重复,包括6 - 7个蛋白质编码基因(包括反式剪接基因12)、4个rRNA基因和7个tRNA基因。基因总数在130到131之间。发现A基因在本文报道的所有四个基因组中都是假基因。这些基因组在密码子使用、氨基酸频率、RNA编辑位点和微卫星方面表现出高度相似性。基因组间的寡核苷酸重复以及JSB(IRb/SSC)和JSA(SSC/IRa)连接高度可变。IR收缩和扩展模式显示为趋同的,因此不适用于系统发育分析。在菖蒲亚科的三个基因(包括2、P和36)中发现了正选择的特征。这项研究为天南星科叶绿体基因组结构的进化史增添了有价值的内容。

https://cdn.ncbi.nlm.nih.gov/pmc/blobs/2404/7355861/a3d0e390726c/plants-09-00737-g001.jpg

文献AI研究员

20分钟写一篇综述,助力文献阅读效率提升50倍。

立即体验

用中文搜PubMed

大模型驱动的PubMed中文搜索引擎

马上搜索

文档翻译

学术文献翻译模型,支持多种主流文档格式。

立即体验