Suppr超能文献

西瓜果实硬度的连锁图谱构建及比较转录组分析() 。 需注意,原文括号内为空,不太完整准确,你可检查一下是否有遗漏信息以便能更精准理解和翻译。

Linkage Mapping and Comparative Transcriptome Analysis of Firmness in Watermelon ().

作者信息

Sun Lei, Zhang Yushu, Cui Haonan, Zhang Lupeng, Sha Tongyun, Wang Chaonan, Fan Chao, Luan Feishi, Wang Xuezheng

机构信息

College of Horticulture and Landscape Architecture, Northeast Agricultural University, Harbin, China.

Key Laboratory of Biology and Genetic Improvement of Horticulture Crops (Northeast Region), Ministry of Agriculture, Harbin, China.

出版信息

Front Plant Sci. 2020 Jun 16;11:831. doi: 10.3389/fpls.2020.00831. eCollection 2020.

Abstract

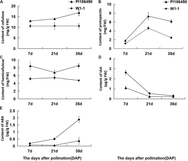
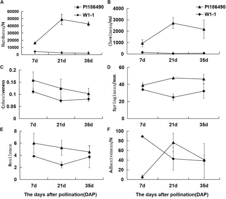
Watermelon fruit texture and quality are determined by flesh firmness. As a quality trait, flesh firmness is controlled by multigenes. Defining the key regulatory factors of watermelon flesh firmness is of great significance for watermelon genetic breeding. In this study, the hard-flesh egusi seed watermelon PI186490 was used as the male parent, the soft-flesh cultivated watermelon W1-1 was used as the female parent, and 175 F generations were obtained from selfing F. Primary mapping of the major genes controlling center flesh firmness was achieved by bulked-segregant analysis (BSA)-Seq analysis and molecular marker technology. Finally, major genes were delimited in the physical interval between 6,210,787 and 7,742,559 bp on chromosome 2 and between 207,553 and 403,137 bp on chromosome 8. The content of each cell wall component and hormone was measured, and comparative transcriptome analysis was performed during fruit development in watermelon. The protopectin, cellulose, hemicellulose, indole-3-acetic acid (IAA) and abscisic acid (ABA) contents were measured, and paraffin sections were made during the three fruit developmental stages. The results revealed that protopectin, celluloses, and hemicelluloses exhibited similar trends for flesh firmness, while the IAA and ABA concentrations continued to decrease with fruit ripening. Paraffin sections showed that PI186490 cells were more numerous, were more tightly packed, had clearer cell wall edges and had thicker cell walls than W1-1 cells at every developmental stage. Comparative transcriptome analysis was conducted on RNA samples of flesh during fruit development and ripening in W1-1 and PI186490. The results from the localization interval transcriptome analysis showed that Cla016033 (DUF579 family member), which may influence the cell wall component contents to adjust the flesh firmness in watermelon fruit, was different in W1-1 and PI186490 and that Cla012507 (MADS-box transcription factor) may be involved in the regulation of fruit ripening and affect the hardness of watermelon fruit.

摘要

西瓜果实的质地和品质由果肉硬度决定。作为一个品质性状,果肉硬度受多基因控制。明确西瓜果肉硬度的关键调控因子对西瓜遗传育种具有重要意义。本研究以硬果肉的籽用西瓜PI186490为父本,软果肉的栽培西瓜W1-1为母本,通过自交F1获得175个F2代。利用分离群体分组分析法(BSA)-Seq分析和分子标记技术对控制中心果肉硬度的主基因进行了初步定位。最终,将主基因定位在2号染色体上6,210,787至7,742,559 bp的物理区间以及8号染色体上207,553至403,137 bp的物理区间。测定了各细胞壁成分和激素的含量,并在西瓜果实发育过程中进行了比较转录组分析。测定了原果胶、纤维素、半纤维素、吲哚-3-乙酸(IAA)和脱落酸(ABA)的含量,并在三个果实发育阶段制作了石蜡切片。结果表明,原果胶、纤维素和半纤维素在果肉硬度方面呈现相似趋势,而IAA和ABA浓度随果实成熟持续降低。石蜡切片显示,在每个发育阶段,PI186490的细胞比W1-1的细胞数量更多、排列更紧密、细胞壁边缘更清晰且细胞壁更厚。对W1-1和PI186490果实发育和成熟过程中果肉的RNA样本进行了比较转录组分析。定位区间转录组分析结果表明,Cla016033(DUF579家族成员)在W1-1和PI186490中存在差异,其可能影响细胞壁成分含量以调节西瓜果实的果肉硬度,Cla012507(MADS-box转录因子)可能参与果实成熟调控并影响西瓜果实的硬度。

https://cdn.ncbi.nlm.nih.gov/pmc/blobs/2d7b/7308538/e153dba1cd7b/fpls-11-00831-g001.jpg

文献AI研究员

20分钟写一篇综述,助力文献阅读效率提升50倍。

立即体验

用中文搜PubMed

大模型驱动的PubMed中文搜索引擎

马上搜索

文档翻译

学术文献翻译模型,支持多种主流文档格式。

立即体验