Suppr超能文献

控制措施对意大利 COVID-19 传播的影响:与中国广东省的比较。

The effect of control measures on COVID-19 transmission in Italy: Comparison with Guangdong province in China.

机构信息

School of Mathematics and Information Science, Shaanxi Normal University, Xi'an, 710119, PR China.

Department of Mathematics, University of Florida, Gainesville, 32601, USA.

出版信息

Infect Dis Poverty. 2020 Sep 16;9(1):130. doi: 10.1186/s40249-020-00730-2.

Abstract

BACKGROUND

COVID-19 has spread all around the world. Italy is one of the worst affected countries in Europe. Although there is a trend of relief, the epidemic situation hasn't stabilized yet. This study aims to investigate the dynamics of the disease spread in Italy and provide some suggestions on containing the epidemic.

METHODS

We compared Italy's status at the outbreak stage and control measures with Guangdong Province in China by data observation and analysis. A modified autonomous SEIR model was used to study the COVID-19 epidemic and transmission potential during the early stage of the outbreak in Italy. We also utilized a time-dependent dynamic model to study the future disease dynamics in Italy. The impact of various non-pharmaceutical control measures on epidemic was investigated through uncertainty and sensitivity analyses.

RESULTS

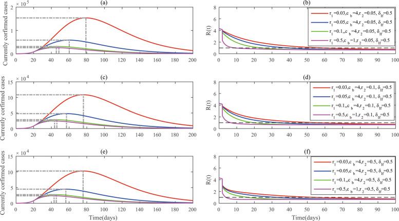
The comparison of specific measures implemented in the two places and the time when the measures were initiated shows that the initial prevention and control actions in Italy were not sufficiently timely and effective. We estimated parameter values based on available cumulative data and calculated the basic reproduction number to be 4.32 before the national lockdown in Italy. Based on the estimated parameter values, we performed numerical simulations to predict the epidemic trend and evaluate the impact of contact limitation, detection and diagnosis, and individual behavior change due to media coverage on the epidemic.

CONCLUSIONS

Italy was in a severe epidemic status and the control measures were not sufficiently timely and effective in the beginning. Non-pharmaceutical interventions, including contact restrictions and improvement of case recognition, play an important role in containing the COVID-19 epidemic. The effect of individual behavior changes due to media update of the outbreak cannot be ignored. For policy-makers, early and strict blockade measures, fast detection and improving media publicity are key to containing the epidemic.

摘要

背景

COVID-19 已在全球范围内传播。意大利是欧洲受影响最严重的国家之一。尽管有缓解的趋势,但疫情尚未稳定。本研究旨在调查意大利疾病传播的动态,并就控制疫情提供一些建议。

方法

通过数据观察和分析,将意大利疫情爆发阶段的情况和控制措施与中国广东省进行比较。采用修正的自主 SEIR 模型研究意大利疫情爆发初期的 COVID-19 流行和传播潜力。还利用时变动态模型研究意大利未来的疾病动态。通过不确定性和敏感性分析研究了各种非药物控制措施对疫情的影响。

结果

对两地实施的具体措施及措施启动时间的比较表明,意大利最初的预防和控制措施不够及时有效。我们根据可用的累积数据估计参数值,并计算出意大利全国封锁前的基本繁殖数为 4.32。基于估计的参数值,我们进行了数值模拟,以预测疫情趋势,并评估接触限制、检测和诊断以及媒体报道引起的个体行为改变对疫情的影响。

结论

意大利疫情严重,防控措施初期不够及时有效。非药物干预措施,包括接触限制和提高病例识别能力,在控制 COVID-19 疫情方面发挥着重要作用。媒体对疫情的更新引起的个体行为变化的影响不容忽视。对于决策者来说,早期和严格的封锁措施、快速检测和改善媒体宣传是控制疫情的关键。

https://cdn.ncbi.nlm.nih.gov/pmc/blobs/c095/7493155/a0b02364b94b/40249_2020_730_Fig1_HTML.jpg

文献AI研究员

20分钟写一篇综述,助力文献阅读效率提升50倍。

立即体验

用中文搜PubMed

大模型驱动的PubMed中文搜索引擎

马上搜索

文档翻译

学术文献翻译模型,支持多种主流文档格式。

立即体验