Suppr超能文献

吸入性干粉藻酸盐寡糖治疗囊性纤维化:一项随机、双盲、安慰剂对照、交叉2b期研究。

Inhaled dry powder alginate oligosaccharide in cystic fibrosis: a randomised, double-blind, placebo-controlled, crossover phase 2b study.

作者信息

van Koningsbruggen-Rietschel Silke, Davies Jane C, Pressler Tacjana, Fischer Rainald, MacGregor Gordon, Donaldson Scott H, Smerud Knut, Meland Nils, Mortensen Jann, Fosbøl Marie Ø, Downey Damian G, Myrset Astrid H, Flaten Hugo, Rye Philip D

机构信息

CF Centre, Faculty of Medicine, University Children's Hospital, Cologne, Germany.

Dept of Paediatric Respiratory Medicine, National Heart and Lung Institute, Imperial College London, and Royal Brompton and Harefield NHS Foundation Trust, London, UK.

出版信息

ERJ Open Res. 2020 Oct 19;6(4). doi: 10.1183/23120541.00132-2020. eCollection 2020 Oct.

Abstract

BACKGROUND

OligoG is a low molecular-weight alginate oligosaccharide that improves the viscoelastic properties of cystic fibrosis (CF) mucus and disrupts biofilms, thereby potentiating the activity of antimicrobial agents. The efficacy of inhaled OligoG was evaluated in adult patients with CF.

METHODS

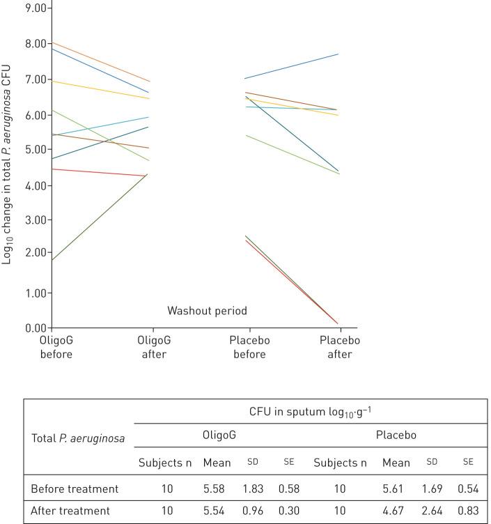
A randomised, double-blind, placebo-controlled multicentre crossover study was used to demonstrate safety and efficacy of inhaled dry powder OligoG. Subjects were randomly allocated to receive OligoG 1050 mg per day (10 capsules three times daily) or matching placebo for 28 days, with 28-day washout periods following each treatment period. The primary end-point was absolute change in percentage predicted forced expiratory volume in 1 s (FEV) at the end of 28-day treatment. The intention-to-treat (ITT) population (n=65) was defined as randomised to treatment with at least one administration of study medication and post-dosing evaluation.

RESULTS

In this study, 90 adult subjects were screened and 65 were randomised. Statistically significant improvement in FEV was not observed in the ITT population. Adverse events included nasopharyngitis, cough and pulmonary exacerbation. The number and proportions of patients with adverse events and serious adverse events were similar between OligoG and placebo group.

CONCLUSIONS

Inhalation of OligoG-dry powder over 28 days was safe in adult CF subjects. Statistically significant improvement of FEV was not reached. The planned analyses did not indicate a significant treatment benefit with OligoG compared to placebo. exploratory analyses showed subgroup results that indicate that further studies of OligoG in this patient population are justified.

摘要

背景

低聚古罗糖醛酸(OligoG)是一种低分子量海藻酸寡糖,可改善囊性纤维化(CF)黏液的黏弹性特性并破坏生物膜,从而增强抗菌药物的活性。对成年CF患者吸入OligoG的疗效进行了评估。

方法

采用随机、双盲、安慰剂对照的多中心交叉研究来证明吸入干粉状OligoG的安全性和有效性。受试者被随机分配接受每日1050毫克OligoG(10粒胶囊,每日三次)或匹配的安慰剂,为期28天,每个治疗期后有28天的洗脱期。主要终点是28天治疗结束时预测的1秒用力呼气量(FEV)百分比的绝对变化。意向性治疗(ITT)人群(n = 65)定义为随机接受至少一次研究药物给药和给药后评估的患者。

结果

在本研究中,90名成年受试者接受了筛查,65名被随机分组。ITT人群中未观察到FEV有统计学意义的改善。不良事件包括鼻咽炎、咳嗽和肺部加重。OligoG组和安慰剂组之间不良事件和严重不良事件患者的数量及比例相似。

结论

成年CF受试者吸入OligoG干粉28天是安全的。未达到FEV有统计学意义的改善。计划分析未表明与安慰剂相比,OligoG有显著的治疗益处。探索性分析显示的亚组结果表明,对该患者群体进一步研究OligoG是合理的。

https://cdn.ncbi.nlm.nih.gov/pmc/blobs/9963/7569163/791ab7868e41/00132-2020.01.jpg

文献AI研究员

20分钟写一篇综述,助力文献阅读效率提升50倍。

立即体验

用中文搜PubMed

大模型驱动的PubMed中文搜索引擎

马上搜索

文档翻译

学术文献翻译模型,支持多种主流文档格式。

立即体验