Suppr超能文献

COVID-19 有创通气患者的通气管理和临床结局(PRoVENT-COVID):一项全国性、多中心、观察性队列研究。

Ventilation management and clinical outcomes in invasively ventilated patients with COVID-19 (PRoVENT-COVID): a national, multicentre, observational cohort study.

机构信息

Department of Intensive Care, Amsterdam University Medical Centers location Academic Medical Center, Amsterdam, Netherlands.

Department of Intensive Care, Amsterdam University Medical Centers location Academic Medical Center, Amsterdam, Netherlands; University Medical Center Groningen, Groningen, The Netherlands.

出版信息

Lancet Respir Med. 2021 Feb;9(2):139-148. doi: 10.1016/S2213-2600(20)30459-8. Epub 2020 Oct 23.

Abstract

BACKGROUND

Little is known about the practice of ventilation management in patients with COVID-19. We aimed to describe the practice of ventilation management and to establish outcomes in invasively ventilated patients with COVID-19 in a single country during the first month of the outbreak.

METHODS

PRoVENT-COVID is a national, multicentre, retrospective observational study done at 18 intensive care units (ICUs) in the Netherlands. Consecutive patients aged at least 18 years were eligible for participation if they had received invasive ventilation for COVID-19 at a participating ICU during the first month of the national outbreak in the Netherlands. The primary outcome was a combination of ventilator variables and parameters over the first 4 calendar days of ventilation: tidal volume, positive end-expiratory pressure (PEEP), respiratory system compliance, and driving pressure. Secondary outcomes included the use of adjunctive treatments for refractory hypoxaemia and ICU complications. Patient-centred outcomes were ventilator-free days at day 28, duration of ventilation, duration of ICU and hospital stay, and mortality. PRoVENT-COVID is registered at ClinicalTrials.gov (NCT04346342).

FINDINGS

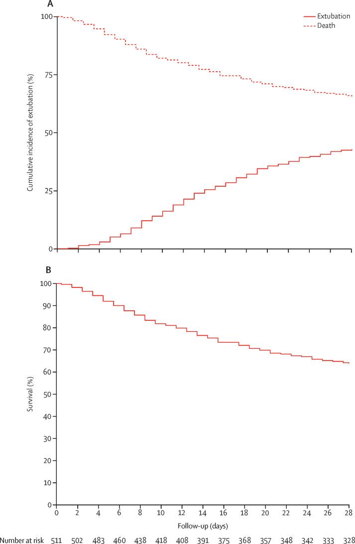
Between March 1 and April 1, 2020, 553 patients were included in the study. Median tidal volume was 6·3 mL/kg predicted bodyweight (IQR 5·7-7·1), PEEP was 14·0 cm HO (IQR 11·0-15·0), and driving pressure was 14·0 cm HO (11·2-16·0). Median respiratory system compliance was 31·9 mL/cm HO (26·0-39·9). Of the adjunctive treatments for refractory hypoxaemia, prone positioning was most often used in the first 4 days of ventilation (283 [53%] of 530 patients). The median number of ventilator-free days at day 28 was 0 (IQR 0-15); 186 (35%) of 530 patients had died by day 28. Predictors of 28-day mortality were gender, age, tidal volume, respiratory system compliance, arterial pH, and heart rate on the first day of invasive ventilation.

INTERPRETATION

In patients with COVID-19 who were invasively ventilated during the first month of the outbreak in the Netherlands, lung-protective ventilation with low tidal volume and low driving pressure was broadly applied and prone positioning was often used. The applied PEEP varied widely, despite an invariably low respiratory system compliance. The findings of this national study provide a basis for new hypotheses and sample size calculations for future trials of invasive ventilation for COVID-19. These data could also help in the interpretation of findings from other studies of ventilation practice and outcomes in invasively ventilated patients with COVID-19.

FUNDING

Amsterdam University Medical Centers, location Academic Medical Center.

摘要

背景

对于 COVID-19 患者的通气管理实践,我们知之甚少。本研究旨在描述 COVID-19 患者在单一国家爆发的第一个月内接受有创通气治疗的患者的通气管理实践,并建立结局。

方法

PRoVENT-COVID 是一项在荷兰 18 个重症监护病房(ICU)进行的全国性、多中心、回顾性观察性研究。在荷兰全国爆发的第一个月期间,如果至少 18 岁的患者在参与 ICU 接受了 COVID-19 的有创通气,则符合纳入标准。主要结局是通气第 1 天至第 4 天的通气参数和参数的组合:潮气量、呼气末正压(PEEP)、呼吸系统顺应性和驱动压。次要结局包括对难治性低氧血症和 ICU 并发症的辅助治疗。患者为中心的结局包括第 28 天无呼吸机天数、通气时间、ICU 和住院时间、死亡率。PRoVENT-COVID 在 ClinicalTrials.gov 注册(NCT04346342)。

结果

2020 年 3 月 1 日至 4 月 1 日,共纳入 553 例患者。中位潮气量为预测体重的 6.3mL/kg(IQR 5.7-7.1),PEEP 为 14.0cmHO(IQR 11.0-15.0),驱动压为 14.0cmHO(11.2-16.0)。中位呼吸系统顺应性为 31.9mL/cmHO(26.0-39.9)。在难治性低氧血症的辅助治疗中,在通气的第 1 天至第 4 天,最常使用俯卧位(530 例患者中有 283 例[53%])。第 28 天无呼吸机天数的中位数为 0(IQR 0-15);530 例患者中有 186 例(35%)在第 28 天死亡。28 天死亡率的预测因素为性别、年龄、潮气量、呼吸系统顺应性、动脉 pH 值和有创通气第 1 天的心率。

结论

在荷兰 COVID-19 爆发的第一个月内接受有创通气的患者中,广泛应用了低潮气量和低驱动压的肺保护性通气,且常使用俯卧位。尽管呼吸系统顺应性普遍较低,但应用的 PEEP 差异很大。这项全国性研究的结果为 COVID-19 有创通气的未来试验提供了新的假设和样本量计算的基础。这些数据还有助于解释其他 COVID-19 患者有创通气实践和结局的研究结果。

资金

阿姆斯特丹大学医学中心,阿姆斯丹医学中心地点。

https://cdn.ncbi.nlm.nih.gov/pmc/blobs/de17/7584441/e7c0f82fc0d1/gr1_lrg.jpg

文献AI研究员

20分钟写一篇综述,助力文献阅读效率提升50倍。

立即体验

用中文搜PubMed

大模型驱动的PubMed中文搜索引擎

马上搜索

文档翻译

学术文献翻译模型,支持多种主流文档格式。

立即体验