Suppr超能文献

呼出一氧化碳与中国慢性病前瞻性研究中心脑血管疾病风险的关联。

Association of exhaled carbon monoxide with risk of cardio-cerebral-vascular disease in the China Kadoorie Biobank cohort study.

机构信息

Department of Occupational and Environmental Health, Key Laboratory of Environment and Health, Ministry of Education and State Key Laboratory of Environmental Health (Incubating), School of Public Health, Tongji Medical College, Huazhong University of Science and Technology, 13 Hongkong Rd, Wuhan, 430030, Hubei, People's Republic of China.

Department of Epidemiology and Biostatistics, School of Public Health, Peking University Health Science Center, 38 Xueyuan Road, Beijing, 100191, People's Republic of China.

出版信息

Sci Rep. 2020 Nov 11;10(1):19507. doi: 10.1038/s41598-020-76353-2.

Abstract

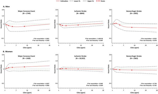
Exhaled carbon monoxide (COex) level has been proposed as a noninvasive and easily-obtainable cardiovascular risk marker, however, with limited prospective evidence, and its association with stroke risk has been rarely explored. Measurements of COex were performed during 2004-2008 baseline examinations in the China Kadoorie Biobank study among 512,891 adults aged 30-79 years from 10 diverse study areas. After excluding participants with baseline cardiopulmonary diseases, stroke and cancer, 178,485 men and 267,202 women remained. Cox regression yielded hazard ratios (HRs) and 95% confidence intervals (CIs) for risk of cardio-cerebral-vascular disease (CCVD) associated with COex levels, with sequential addition of adjustment for proxy variables for CO exposure, including study area indexing ambient CO variations at large, and smoking and solid fuel use, apart from adjusting for traditional cardiovascular risk factors. During 7-year follow-up, we documented 1744 and 1430 major coronary events (myocardial infarction plus fatal ischemic heart disease), 8849 and 10,922 ischemic strokes, and 2492 and 2363 hemorrhagic strokes among men and women, respectively. The HRs with 95% CIs comparing the highest with lowest COex quintile were 2.15 [1.72, 2.69] for major coronary events, 1.65 [1.50, 1.80] for ischemic stroke, and 1.35 [1.13, 1.61] for hemorrhagic stroke among men, while among women higher associated risk was only observed for major coronary events (1.64 [1.35, 2.00]) and ischemic stroke (1.87 [1.73, 2.01]). The elevated risks were consistent when COex level was over 3 ppm. However, these associations were all attenuated until null by sequential addition of stratification by study areas, and adjustments of smoking and solid fuel use. Nevertheless, the association with ischemic stroke was maintained among the subgroup of male smokers even with adjustment for the depth and amount of cigarette smoking (HR [95% CI]: 1.37 [1.06, 1.77]), while a negative association with hemorrhagic stroke also appeared within this subgroup. Higher COex level (over 3 ppm) was associated with elevated risk of ischemic CCVD, but not independently of CO exposure. Our finding suggests that, though not an independent risk factor, COex could potentially provide a cost-effective biomarker for ischemic cardio-cerebral-vascular risk, given that CO exposure is ubiquitous.

摘要

呼气一氧化碳(COex)水平已被提议作为一种非侵入性和易于获得的心血管风险标志物,然而,由于前瞻性证据有限,其与中风风险的关联很少被探讨。COex 的测量是在中国科 2004-2008 年的基线研究中进行的,研究对象是来自 10 个不同研究地区的 512891 名年龄在 30-79 岁的成年人。在排除了有基线心肺疾病、中风和癌症的参与者后,178485 名男性和 267202 名女性被纳入研究。Cox 回归分析了与 COex 水平相关的心血管疾病(CCVD)风险的危险比(HR)和 95%置信区间(CI),通过连续增加 CO 暴露的替代变量的调整,包括研究区域索引大气 CO 变化,以及除了调整传统心血管危险因素外,还调整了吸烟和固体燃料的使用。在 7 年的随访期间,我们分别记录了男性和女性中的 1744 例和 1430 例主要冠状动脉事件(心肌梗死加致命性缺血性心脏病)、8849 例和 10922 例缺血性中风、2492 例和 2363 例出血性中风。最高与最低 COex 五分位数相比,男性的 HR(95%CI)分别为 2.15(1.72,2.69)、1.65(1.50,1.80)和 1.35(1.13,1.61),而女性中仅观察到主要冠状动脉事件(1.64 [1.35, 2.00])和缺血性中风(1.87 [1.73, 2.01])的风险增加。当 COex 水平超过 3ppm 时,风险仍然较高。然而,通过连续增加按研究区域分层和调整吸烟和固体燃料使用的调整,这些关联在逐渐减弱,直至变为零。然而,即使在调整吸烟深度和吸烟量后,男性吸烟者亚组中与缺血性中风的关联仍然存在(HR [95%CI]:1.37 [1.06, 1.77]),而在该亚组中也出现了与出血性中风的负相关。较高的 COex 水平(超过 3ppm)与缺血性 CCVD 风险增加相关,但与 CO 暴露无关。我们的发现表明,尽管 COex 不是一个独立的风险因素,但鉴于 CO 暴露无处不在,它可能是一种具有成本效益的缺血性心脑血管风险的生物标志物。

https://cdn.ncbi.nlm.nih.gov/pmc/blobs/e4a3/7659340/1dfd166a0cab/41598_2020_76353_Fig1_HTML.jpg

文献AI研究员

20分钟写一篇综述,助力文献阅读效率提升50倍。

立即体验

用中文搜PubMed

大模型驱动的PubMed中文搜索引擎

马上搜索

文档翻译

学术文献翻译模型,支持多种主流文档格式。

立即体验