Suppr超能文献

介孔磺酸化碳催化剂的优化与表征及其在醋酸生产模拟与优化中的应用。

Optimization and Characterization of Mesoporous Sulfonated Carbon Catalyst and Its Application in Modeling and Optimization of Acetin Production.

机构信息

Department of Chemistry, Faculty of Science, Universiti Putra Malaysia, Serdang 43400 UPM, Selangor, Malaysia.

Department of Chemical Sciences, Federal Polytechnic, P.M.B. 55 Bida, Niger State, Nigeria.

出版信息

Molecules. 2020 Nov 10;25(22):5221. doi: 10.3390/molecules25225221.

Abstract

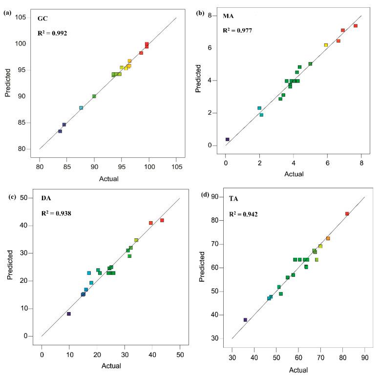
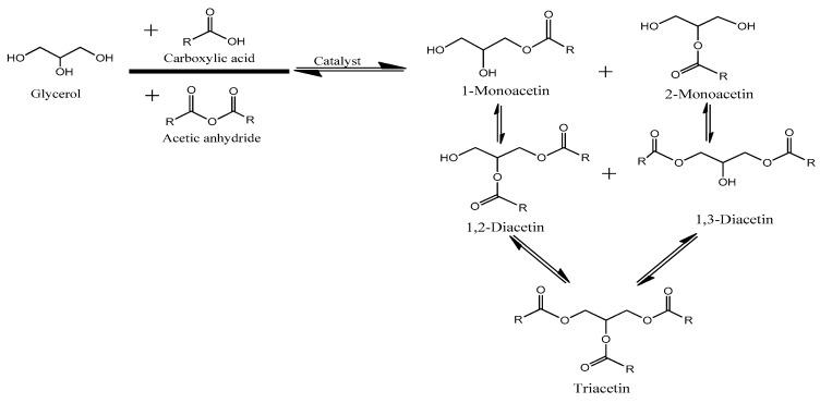
In this study, an optimized mesoporous sulfonated carbon (OMSC) catalyst derived from palm kernel shell biomass was developed using template carbonization and subsequent sulfonation under different temperatures and time conditions. The OMSC catalyst was characterized using acid-base titration, elemental analysis, XRD, Raman, FTIR, XPS, TPD-NH, TGA-DTA, SEM, and N adsorption-desorption analysis to reveal its properties. Results proved that the OMSC catalyst is mesoporous and amorphous in structure with improved textural, acidic, and thermal properties. Both FTIR and XPS confirmed the presence of -SOH, -OH, and -COOH functional groups on the surface of the catalyst. The OMSC catalyst was found to be efficient in catalyzing glycerol conversion to acetin via an acetylation reaction with acetic acid within a short period of 3 h. Response surface methodology (RSM), based on a two-level, three-factor, face-centered central composite design, was used to optimize the reaction conditions. The results showed that the optimized temperature, glycerol-to-acetic acid mole ratio, and catalyst load were 126 °C, 1:10.4, and 0.45 g, respectively. Under these optimum conditions, 97% glycerol conversion (GC) and selectivities of 4.9, 27.8, and 66.5% monoacetin (MA), diacetin (DA), and triacetin (TA), respectively, were achieved and found to be close to the predicted values. Statistical analysis showed that the regression model, as well as the model terms, were significant with the predicted R in reasonable agreement with the adjusted R (<0.2). The OMSC catalyst maintained excellent performance in GC for the five reaction cycles. The selectivity to TA, the most valuable product, was not stable until the fourth cycle, attributable to the leaching of the acid sites.

摘要

在这项研究中,使用模板碳化和随后在不同温度和时间条件下进行磺化,开发了一种源自棕榈仁壳生物质的优化介孔磺化碳(OMSC)催化剂。通过酸碱滴定、元素分析、XRD、Raman、FTIR、XPS、TPD-NH3、TGA-DTA、SEM 和 N2 吸附-解吸分析对 OMSC 催化剂进行了表征,以揭示其性质。结果证明,OMSC 催化剂具有介孔和无定形结构,具有改善的结构、酸性和热性能。FTIR 和 XPS 都证实了催化剂表面存在-SOH、-OH 和-COOH 官能团。OMSC 催化剂在 3 小时内通过与乙酸的乙酰化反应有效地催化甘油转化为乙酰丙酮。基于两水平、三因素、面心中央组合设计的响应面法(RSM)用于优化反应条件。结果表明,优化的温度、甘油与乙酸摩尔比和催化剂负载分别为 126°C、1:10.4 和 0.45 g。在这些最佳条件下,甘油转化率(GC)为 97%,单乙酰基(MA)、二乙酰基(DA)和三乙酰基(TA)的选择性分别为 4.9、27.8 和 66.5%,且接近预测值。统计分析表明,回归模型以及模型项均具有显著性,预测 R 与调整 R(<0.2)合理一致。OMSC 催化剂在五次反应循环中保持了优异的 GC 性能。最有价值产物 TA 的选择性直到第四周期才稳定,这归因于酸位的浸出。

https://cdn.ncbi.nlm.nih.gov/pmc/blobs/fe25/7697787/18da787d8105/molecules-25-05221-sch001.jpg

文献AI研究员

20分钟写一篇综述,助力文献阅读效率提升50倍。

立即体验

用中文搜PubMed

大模型驱动的PubMed中文搜索引擎

马上搜索

文档翻译

学术文献翻译模型,支持多种主流文档格式。

立即体验