Suppr超能文献

玉米第六叶 microRNA 转录组分析揭示了穗期杂种优势的调控机制。

MicroRNA transcriptomic analysis of the sixth leaf of maize (Zea mays L.) revealed a regulatory mechanism of jointing stage heterosis.

机构信息

College of Agronomy, State Key Laboratory of Wheat and Maize Crop Science, Henan Agricultural University, #15 Longzi Lake University District, Zhengdong New District, Zhengzhou, 450046, Henan, People's Republic of China.

出版信息

BMC Plant Biol. 2020 Nov 30;20(1):541. doi: 10.1186/s12870-020-02751-3.

Abstract

BACKGROUND

Zhengdan 958 (Zheng 58 × Chang 7-2), a commercial hybrid that is produced in a large area in China, is the result of the successful use of the heterotic pattern of Reid × Tang-SPT. The jointing stage of maize is the key period from vegetative to reproductive growth, which determines development at later stages and heterosis to a certain degree. MicroRNAs (miRNAs) play vital roles in the regulation of plant development, but how they function in the sixth leaf at the six-leaf (V6) stage to influence jointing stage heterosis is still unclear.

RESULT

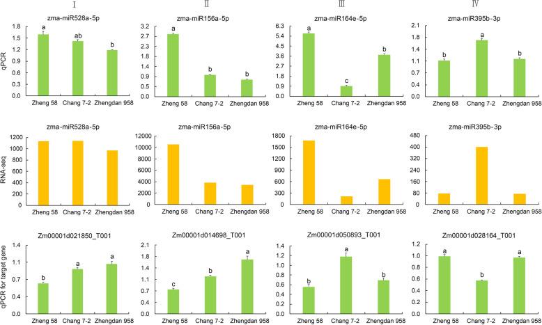
Our objective was to study miRNAs in four hybrid combinations developed in accordance with the Reid × Tang-SPT pattern, Zhengdan 958, Anyu 5 (Ye 478 × Chang 7-2), Ye 478 × Huangzaosi, Zheng 58 × Huangzaosi, and their parental inbred lines to explore the mechanism related to heterosis. A total of 234 miRNAs were identified in the sixth leaf at the V6 stage, and 85 miRNAs were differentially expressed between the hybrid combinations and their parental inbred lines. Most of the differentially expressed miRNAs were non-additively expressed, which indicates that miRNAs may participate in heterosis at the jointing stage. miR164, miR1432 and miR528 families were repressed in the four hybrid combinations, and some miRNAs, such as miR156, miR399, and miR395 families, exhibited different expression trends in different hybrid combinations, which may result in varying effects on the heterosis regulatory mechanism.

CONCLUSIONS

The potential targets of the identified miRNAs are related to photosynthesis, the response to plant hormones, and nutrient use. Different hybrid combinations employ different mature miRNAs of the same miRNA family and exhibit different expression trends that may result in enhanced or repressed gene expression to regulate heterosis. Taken together, our results reveal a miRNA-mediated network that plays a key role in jointing stage heterosis via posttranscriptional regulation.

摘要

背景

郑丹 958(郑 58×昌 7-2)是中国大面积生产的商业杂交种,是成功利用 Reid×Tang-SPT 杂种优势模式的结果。玉米的拔节期是从营养生长到生殖生长的关键时期,在一定程度上决定了后期的发育和杂种优势。microRNAs(miRNAs)在植物发育的调控中起着至关重要的作用,但它们在第六叶(V6)期的第六叶中如何发挥作用,影响拔节期杂种优势,仍不清楚。

结果

我们的目的是研究按照 Reid×Tang-SPT 模式开发的四个杂交组合(郑丹 958、Anyu 5(Ye 478×昌 7-2)、Ye 478×Huangzaosi、郑 58×Huangzaosi)及其亲本自交系中 miRNA 的表达情况,以探讨与杂种优势相关的机制。在 V6 期的第六叶中鉴定出 234 个 miRNA,其中 85 个 miRNA 在杂交组合与其亲本自交系之间差异表达。大多数差异表达的 miRNA 是非加性表达的,这表明 miRNA 可能参与了拔节期的杂种优势。miR164、miR1432 和 miR528 家族在四个杂交组合中受到抑制,miR156、miR399 和 miR395 家族等一些 miRNA 在不同的杂交组合中表现出不同的表达趋势,这可能导致对杂种优势调控机制的不同影响。

结论

鉴定出的 miRNA 的潜在靶标与光合作用、植物激素响应和养分利用有关。不同的杂交组合采用同一 miRNA 家族的不同成熟 miRNA,表现出不同的表达趋势,可能导致增强或抑制基因表达,从而调节杂种优势。综上所述,我们的研究结果揭示了一个 miRNA 介导的网络,通过转录后调控在拔节期杂种优势中起着关键作用。

https://cdn.ncbi.nlm.nih.gov/pmc/blobs/8c06/7708177/7d1e7634adda/12870_2020_2751_Fig1_HTML.jpg

文献AI研究员

20分钟写一篇综述,助力文献阅读效率提升50倍。

立即体验

用中文搜PubMed

大模型驱动的PubMed中文搜索引擎

马上搜索

文档翻译

学术文献翻译模型,支持多种主流文档格式。

立即体验