Suppr超能文献

在临床实践中,无袖带 24 小时血压测量设备的准确性和一致性得到改善。

Improved agreement and diagnostic accuracy of a cuffless 24-h blood pressure measurement device in clinical practice.

机构信息

Medical Outpatient and Hypertension Clinic, ESH Hypertension Centre of Excellence, University Hospital Basel, Petersgraben 4, 4031, Basel, Switzerland.

Department of Cardiology, University Hospital Basel, Basel, Switzerland.

出版信息

Sci Rep. 2021 Jan 13;11(1):1143. doi: 10.1038/s41598-020-80905-x.

Abstract

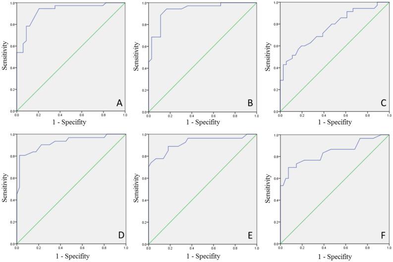
A cuffless blood pressure (BP) device (TestBP) using pulse transit time is in clinical use, but leads to higher BP values compared to a cuff-based 24 h-BP reference device (RefBP). We evaluated the impact of a recent software update on BP results and TestBP's ability to differentiate between normo- and hypertension. 71 individuals had TestBP (Somnotouch-NIBP) and RefBP measurements simultaneously performed on either arm. TestBP results with software version V1.5 were compared to V1.4 and RefBP. Mean 24 h (± SD) BP for the RefBP, TestBP-V1.4 and TestBP-V1.5 were systolic 134.0 (± 17.3), 140.8 (± 20) and 139.1 (± 20) mmHg, and diastolic 79.3 (± 11.7), 85.8 (± 14.1) and 83.5 (± 13.0) mmHg, respectively (p-values < 0.001). TestBP-V1.5 area under the curve (95% confidence interval) versus RefBP for hypertension detection was 0.92 (0.86; 0.99), 0.94 (0.88; 0.99) and 0.77 (0.66; 0.88) for systolic and 0.92 (0.86; 0.99), 0.92 (0.85; 0.99) and 0.84 (0.74; 0.94) for diastolic 24 h, awake and asleep BP respectively. TestBP-V1.5 detected elevated systolic/diastolic mean 24 h-BP with a 95%/90% sensitivity and 65%/70% specificity. Highest Youden's Index was systolic 133 (sensitivity 95%/specificity 80%) and diastolic 87 mmHg (sensitivity 81%/specificity 98%). The update improved the agreement to RefBP. TestBP was excellent for detecting 24 h and awake hypertensive BP values but not for asleep BP values.

摘要

一种使用脉搏传输时间的无袖带血压(BP)设备(TestBP)已在临床中使用,但与基于袖带的 24 小时 BP 参考设备(RefBP)相比,它会导致更高的 BP 值。我们评估了最近软件更新对 BP 结果的影响,以及 TestBP 区分正常血压和高血压的能力。71 名个体同时在任一只手臂上进行了 TestBP(Somnotouch-NIBP)和 RefBP 测量。将软件版本 V1.5 的 TestBP 结果与 V1.4 和 RefBP 进行比较。RefBP、TestBP-V1.4 和 TestBP-V1.5 的 24 小时平均(±SD)BP 分别为收缩压 134.0(±17.3)、140.8(±20)和 139.1(±20)mmHg,舒张压 79.3(±11.7)、85.8(±14.1)和 83.5(±13.0)mmHg,差异有统计学意义(p 值均<0.001)。TestBP-V1.5 用于高血压检测的曲线下面积(95%置信区间)与 RefBP 的比值分别为收缩压 0.92(0.86;0.99)、0.94(0.88;0.99)和 0.77(0.66;0.88),舒张压 0.92(0.86;0.99)、0.92(0.85;0.99)和 0.84(0.74;0.94)。TestBP-V1.5 以 95%/90%的灵敏度和 65%/70%的特异性检测到升高的 24 小时收缩压/舒张压平均值。最高 Youden 指数为收缩压 133mmHg(灵敏度 95%/特异性 80%)和舒张压 87mmHg(灵敏度 81%/特异性 98%)。该更新提高了与 RefBP 的一致性。TestBP 非常适合检测 24 小时和清醒时的高血压 BP 值,但不适合检测睡眠时的 BP 值。

https://cdn.ncbi.nlm.nih.gov/pmc/blobs/08ce/7806663/eaa698fd110e/41598_2020_80905_Fig1_HTML.jpg

文献AI研究员

20分钟写一篇综述,助力文献阅读效率提升50倍。

立即体验

用中文搜PubMed

大模型驱动的PubMed中文搜索引擎

马上搜索

文档翻译

学术文献翻译模型,支持多种主流文档格式。

立即体验