Suppr超能文献

香豆素(苯并吡喃酮)杂合五元芳香杂环的合成途径,基于α-吡喃酮部分。第 1 部分:含一个杂原子的五元芳香环。

Synthetic Routes to Coumarin(Benzopyrone)-Fused Five-Membered Aromatic Heterocycles Built on the α-Pyrone Moiety. Part 1: Five-Membered Aromatic Rings with One Heteroatom.

机构信息

National Research Centre, Chemistry of Natural Compounds Department, Dokki-Cairo 12622, Egypt.

Plant Advanced Technologies (PAT), 54500 Vandoeuvre-les-Nancy, France.

出版信息

Molecules. 2021 Jan 18;26(2):483. doi: 10.3390/molecules26020483.

Abstract

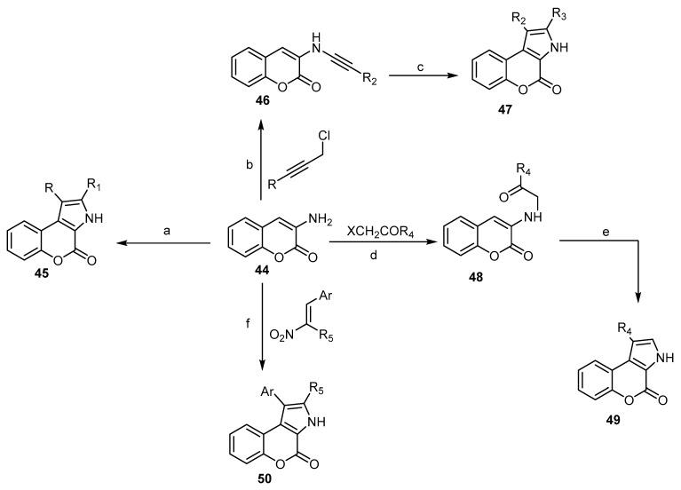
This review gives an up-to-date overview of the different ways (routes) to the synthesis of coumarin (benzopyrone)-fused, five-membered aromatic heterocycles with one heteroatom, built on the pyrone moiety. Covering 1966 to 2020.

摘要

这篇综述概述了截至 2020 年 1966 年以来不同方法(路线)合成吡喃酮杂环并五元芳香杂环,其中一个杂原子构建在吡喃酮部分。

https://cdn.ncbi.nlm.nih.gov/pmc/blobs/97a0/7831143/c6b74b3b1c5b/molecules-26-00483-g001.jpg

文献AI研究员

20分钟写一篇综述,助力文献阅读效率提升50倍。

立即体验

用中文搜PubMed

大模型驱动的PubMed中文搜索引擎

马上搜索

文档翻译

学术文献翻译模型,支持多种主流文档格式。

立即体验