Suppr超能文献

老年女性和男性血液与脑组织中表观遗传时钟的特征

Characteristics of Epigenetic Clocks Across Blood and Brain Tissue in Older Women and Men.

作者信息

Grodstein Francine, Lemos Bernardo, Yu Lei, Iatrou Artemis, De Jager Philip L, Bennett David A

机构信息

Rush Alzheimer's Disease Center, Rush University Medical Center, Chicago, IL, United States.

Department of Internal Medicine, Rush University Medical Center, Chicago, IL, United States.

出版信息

Front Neurosci. 2021 Jan 7;14:555307. doi: 10.3389/fnins.2020.555307. eCollection 2020.

Abstract

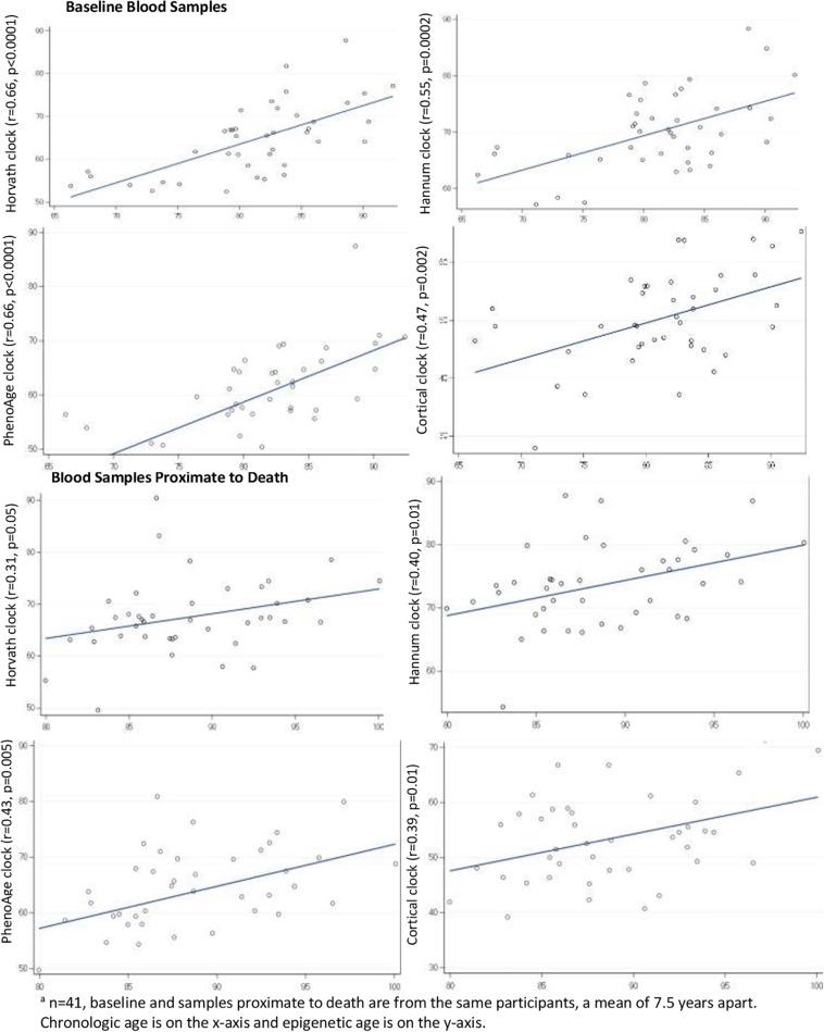
Epigenetic clocks are among the most promising biomarkers of aging. It is particularly important to establish biomarkers of brain aging to better understand neurodegenerative diseases. To advance application of epigenetic clocks-which were largely created with DNA methylation levels in blood samples-for use in brain, we need clearer evaluation of epigenetic clock behavior in brain, including direct comparisons of brain specimens with blood, a more accessible tissue for research. We leveraged data from the Religious Orders Study and Rush Memory and Aging Project to examine three established epigenetic clocks (Horvath, Hannum, PhenoAge clocks) and a newer clock, trained in cortical tissue. We calculated each clock in three different specimens: (1) antemortem CD4+ cells derived from blood ( = 41); (2) postmortem dorsolateral prefrontal cortex (DLPFC, = 730); and (3) postmortem posterior cingulate cortex (PCC, = 186), among older women and men, age 66-108 years at death. Across all clocks, epigenetic age calculated from blood and brain specimens was generally lower than chronologic age, although differences were smallest for the Cortical clock when calculated in the brain specimens. Nonetheless, we found that Pearson correlations of epigenetic to chronologic ages in brain specimens were generally reasonable for all clocks; correlations for the Horvath, Hannum, and PhenoAge clocks largely ranged from 0.5 to 0.7 (all < 0.0001). The Cortical clock outperformed the other clocks, reaching a correlation of 0.83 in the DLFPC ( < 0.0001) for epigenetic vs. chronologic age. Nonetheless, epigenetic age was quite modestly correlated across blood and DLPFC in 41 participants with paired samples [Pearson r from 0.21 ( = 0.2) to 0.32 ( = 0.05)], indicating that broader research in neurodegeneration may benefit from clocks using CpG sites better conserved across blood and brain. Finally, in analyses stratified by sex, by pathologic diagnosis of Alzheimer disease, and by clinical diagnosis of Alzheimer dementia, correlations of epigenetic to chronologic age remained consistently high across all groups. Future research in brain aging will benefit from epigenetic clocks constructed in brain specimens, including exploration of any advantages of focusing on CpG sites conserved across brain and other tissue types.

摘要

表观遗传时钟是最有前景的衰老生物标志物之一。建立脑衰老的生物标志物对于更好地理解神经退行性疾病尤为重要。为了推进表观遗传时钟(其主要基于血液样本中的DNA甲基化水平创建)在脑研究中的应用,我们需要更清晰地评估表观遗传时钟在脑中的行为,包括将脑标本与血液(一种更容易获取用于研究的组织)进行直接比较。我们利用宗教团体研究和拉什记忆与衰老项目的数据,来检验三个已确立的表观遗传时钟(霍瓦斯时钟、汉纳姆时钟、表型年龄时钟)以及一个在皮质组织中训练的较新时钟。我们在三种不同的标本中计算每个时钟:(1)来自血液的生前CD4 + 细胞(n = 41);(2)死后背外侧前额叶皮质(DLPFC,n = 730);以及(3)死后后扣带回皮质(PCC,n = 186),研究对象为年龄在66 - 108岁之间死亡的老年女性和男性。在所有时钟中,从血液和脑标本计算出的表观遗传年龄通常低于实际年龄,尽管在脑标本中计算皮质时钟时差异最小。尽管如此,我们发现所有时钟在脑标本中表观遗传年龄与实际年龄的皮尔逊相关性总体上是合理的;霍瓦斯时钟、汉纳姆时钟和表型年龄时钟的相关性大多在0.5至0.7之间(均p < 0.0001)。皮质时钟表现优于其他时钟,在DLFPC中表观遗传年龄与实际年龄的相关性达到0.83(p < 0.0001)。然而,在41对配对样本的参与者中,血液和DLPFC之间的表观遗传年龄相关性相当低[皮尔逊r从0.21(p = 0.2)到0.32(p = 0.05)],这表明在神经退行性变方面更广泛的研究可能会受益于使用在血液和脑之间保守性更好的CpG位点的时钟。最后,在按性别、阿尔茨海默病病理诊断和阿尔茨海默痴呆临床诊断分层的分析中,表观遗传年龄与实际年龄的相关性在所有组中始终保持较高水平。未来关于脑衰老的研究将受益于在脑标本中构建的表观遗传时钟,包括探索关注在脑和其他组织类型中保守的CpG位点的任何优势。

https://cdn.ncbi.nlm.nih.gov/pmc/blobs/18af/7817909/18e408670aa5/fnins-14-555307-g001.jpg

文献AI研究员

20分钟写一篇综述,助力文献阅读效率提升50倍。

立即体验

用中文搜PubMed

大模型驱动的PubMed中文搜索引擎

马上搜索

文档翻译

学术文献翻译模型,支持多种主流文档格式。

立即体验