Suppr超能文献

通过血浆外泌体 miRNA 测序鉴定血浆外泌体 miR-423-3p 作为前列腺癌去势抵抗发展的潜在预测生物标志物

The Identification of Plasma Exosomal miR-423-3p as a Potential Predictive Biomarker for Prostate Cancer Castration-Resistance Development by Plasma Exosomal miRNA Sequencing.

作者信息

Guo Tianyu, Wang Yang, Jia Jing, Mao Xueying, Stankiewicz Elzbieta, Scandura Glenda, Burke Edwina, Xu Lei, Marzec Jacek, Davies Caitlin R, Lu Jiaying Jasmin, Rajan Prabhakar, Grey Alistair, Tipples Karen, Hines John, Kudahetti Sakunthala, Oliver Tim, Powles Thomas, Alifrangis Constantine, Kohli Manish, Shaw Greg, Wang Wen, Feng Ninghan, Shamash Jonathan, Berney Daniel, Wang Liang, Lu Yong-Jie

机构信息

Centre for Cancer Biomarker and Biotherapeutics, Barts Cancer Institute, Queen Mary University of London, London, United Kingdom.

Department of Cell Biology, Zhejiang University School of Medicine, The Second Affiliated Hospital, Hangzhou, China.

出版信息

Front Cell Dev Biol. 2021 Jan 7;8:602493. doi: 10.3389/fcell.2020.602493. eCollection 2020.

Abstract

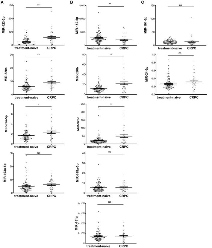
Castration-resistant prostate cancer (CRPC) is the major cause of death from prostate cancer. Biomarkers to improve early detection and prediction of CRPC especially using non-invasive liquid biopsies could improve outcomes. Therefore, we investigated the plasma exosomal miRNAs associated with CRPC and their potential for development into non-invasive early detection biomarkers for resistance to treatment. RNA-sequencing, which generated approximately five million reads per patient, was performed to identify differentially expressed plasma exosomal miRNAs in 24 treatment-naive prostate cancer and 24 CRPC patients. RT-qPCR was used to confirm the differential expressions of six exosomal miRNAs, miR-423-3p, miR-320a, miR-99a-5p, miR-320d, miR-320b, and miR-150-5p ( = 7.3 × 10, 0.0020, 0.018, 0.0028, 0.0013, and 0.0058, respectively) firstly in a validation cohort of 108 treatment-naive prostate cancer and 42 CRPC patients. The most significant differentially expressed miRNA, miR-423-3p, was shown to be associated with CRPC with area under the ROC curve (AUC) = 0.784. Combining miR-423-3p with prostate-specific antigen (PSA) enhanced the prediction of CRPC (AUC = 0.908). A separate research center validation with 30 treatment-naive and 30 CRPC patients also confirmed the differential expression of miR-423-3p ( = 0.016). Finally, plasma exosomal miR-423-3p expression in CRPC patients was compared to 36 non-CRPC patients under androgen depletion therapy, which showed significantly higher expression in CRPC than treated non-CRPC patients ( < 0.0001) with AUC = 0.879 to predict CRPC with no difference between treatment-naive and treated non-CRPC patients. Therefore, our findings demonstrate that a number of plasma exosomal miRNAs are associated with CRPC and miR-423-3p may serve as a biomarker for early detection/prediction of castration-resistance.

摘要

去势抵抗性前列腺癌(CRPC)是前列腺癌导致死亡的主要原因。用于改善CRPC早期检测和预测的生物标志物,尤其是使用非侵入性液体活检的生物标志物,可能会改善治疗结果。因此,我们研究了与CRPC相关的血浆外泌体miRNA及其发展成为治疗抵抗性非侵入性早期检测生物标志物的潜力。对24例未经治疗的前列腺癌患者和24例CRPC患者进行了RNA测序,每位患者产生约500万个读数,以鉴定差异表达的血浆外泌体miRNA。首先在108例未经治疗的前列腺癌患者和42例CRPC患者的验证队列中,使用RT-qPCR确认了6种外泌体miRNA(miR-423-3p、miR-320a、miR-99a-5p、miR-320d、miR-320b和miR-150-5p)的差异表达(分别为 = 7.3 × 10、0.0020、0.018、0.0028、0.0013和0.0058)。差异表达最显著的miRNA,即miR-423-3p,显示与CRPC相关,ROC曲线下面积(AUC) = 0.784。将miR-423-3p与前列腺特异性抗原(PSA)相结合可增强对CRPC的预测(AUC = 0.908)。在另一个有30例未经治疗的患者和30例CRPC患者的研究中心验证中,也证实了miR-423-3p的差异表达( = 0.016)。最后,将CRPC患者的血浆外泌体miR-423-3p表达与36例接受雄激素剥夺治疗的非CRPC患者进行比较,结果显示CRPC患者中的表达显著高于接受治疗的非CRPC患者( < 0.0001),AUC = 0.879用于预测CRPC,未经治疗的患者和接受治疗的非CRPC患者之间无差异。因此,我们的研究结果表明,多种血浆外泌体miRNA与CRPC相关,miR-423-3p可能作为去势抵抗性早期检测/预测的生物标志物。

https://cdn.ncbi.nlm.nih.gov/pmc/blobs/7dcb/7817948/6225a0b4b997/fcell-08-602493-g0001.jpg

文献AI研究员

20分钟写一篇综述,助力文献阅读效率提升50倍。

立即体验

用中文搜PubMed

大模型驱动的PubMed中文搜索引擎

马上搜索

文档翻译

学术文献翻译模型,支持多种主流文档格式。

立即体验