Suppr超能文献

基于基因表达数据的生存分析揭示急性髓细胞白血病的新预后基因和亚型。

Novel prognostic genes and subclasses of acute myeloid leukemia revealed by survival analysis of gene expression data.

机构信息

Department of Hematology, Ningbo First Hospital, 59 Liuting RoadZhejiang Province, Ningbo, 315000, China.

出版信息

BMC Med Genomics. 2021 Feb 3;14(1):39. doi: 10.1186/s12920-021-00888-0.

Abstract

BACKGROUND

Acute myeloid leukemia (AML) is biologically heterogeneous diseases with adverse prognosis. This study was conducted to find prognostic biomarkers that could effectively classify AML patients and provide guidance for treatment decision making.

METHODS

Weighted gene co-expression network analysis was applied to detect co-expression modules and analyze their relationship with clinicopathologic characteristics using RNA sequencing data from The Cancer Genome Atlas database. The associations of gene expression with patients' mortality were investigated by a variety of statistical methods and validated in an independent dataset of 405 AML patients. A risk score formula was created based on a linear combination of five gene expression levels.

RESULTS

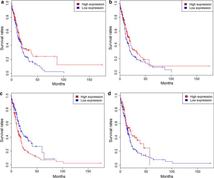
The weighted gene co-expression network analysis detected 63 co-expression modules. The pink and darkred modules were negatively significantly correlated with overall survival of AML patients. High expression of FNDC3B, VSTM1 and CALR was associated with favourable overall survival, while high expression of PLA2G4A was associated with adverse overall survival. Hierarchical clustering analysis of FNDC3B, VSTM1, PLA2G4A, GOLGA3 and CALR uncovered four subgroups of AML patients. The cluster1 AML patients showed younger age, lower cytogenetics risk, higher frequency of NPM1 mutations and more favourable overall survival than cluster3 patients. The risk score was demonstrated to be an indicator of adverse prognosis in AML patients CONCLUSIONS: The FNDC3B, VSTM1, PLA2G4A, GOLGA3, CALR and risk score may serve as key prognostic biomarkers for the stratification and ultimately guide rational treatment of AML patients.

摘要

背景

急性髓系白血病(AML)是一种生物学异质性疾病,预后不良。本研究旨在寻找有效的预后生物标志物,对 AML 患者进行分类,并为治疗决策提供指导。

方法

使用来自癌症基因组图谱数据库的 RNA 测序数据,进行加权基因共表达网络分析,以检测共表达模块,并分析其与临床病理特征的关系。通过多种统计方法研究基因表达与患者死亡率的关系,并在 405 例 AML 患者的独立数据集上进行验证。基于 5 个基因表达水平的线性组合创建风险评分公式。

结果

加权基因共表达网络分析检测到 63 个共表达模块。粉红色和暗红色模块与 AML 患者的总生存率呈负相关。FNDC3B、VSTM1 和 CALR 的高表达与总生存率良好相关,而 PLA2G4A 的高表达与总生存率不良相关。FNDC3B、VSTM1、PLA2G4A、GOLGA3 和 CALR 的层次聚类分析揭示了 AML 患者的四个亚组。cluster1 AML 患者比 cluster3 患者年龄更小、细胞遗传学风险更低、NPM1 突变频率更高、总生存率更高。风险评分是 AML 患者不良预后的指标。

结论

FNDC3B、VSTM1、PLA2G4A、GOLGA3、CALR 和风险评分可能是 AML 患者分层的关键预后生物标志物,并最终指导 AML 患者的合理治疗。

https://cdn.ncbi.nlm.nih.gov/pmc/blobs/8556/7860023/e9ba55afb8e0/12920_2021_888_Fig1_HTML.jpg

文献AI研究员

20分钟写一篇综述,助力文献阅读效率提升50倍。

立即体验

用中文搜PubMed

大模型驱动的PubMed中文搜索引擎

马上搜索

文档翻译

学术文献翻译模型,支持多种主流文档格式。

立即体验