Suppr超能文献

七个免疫相关基因的特征可预测男性胃癌患者的总生存期。

A signature of seven immune-related genes predicts overall survival in male gastric cancer patients.

作者信息

Xu Xin, Lu Yida, Wu Youliang, Wang Mingliang, Wang Xiaodong, Wang Huizhen, Chen Bo, Li Yongxiang

机构信息

Department of General Surgery, The First Affiliated Hospital of Anhui Medical University, 218 JiXi Avenue, Hefei, 230022, Anhui, China.

Anhui Medical University, Hefei, 230022, China.

出版信息

Cancer Cell Int. 2021 Feb 18;21(1):117. doi: 10.1186/s12935-021-01823-0.

Abstract

BACKGROUND

Gastric cancer (GC) has a high mortality rate and is one of the most fatal malignant tumours. Male sex has been proven as an independent risk factor for GC. This study aimed to identify immune-related genes (IRGs) associated with the prognosis of male GC.

METHODS

RNA sequencing and clinical data were obtained from The Cancer Genome Atlas (TCGA) database. Differentially expressed IRGs between male GC and normal tissues were identified by integrated bioinformatics analysis. Univariate and multivariate Cox regression analyses were applied to screen survival-associated IRGs. Then, GC patients were separated into high- and low-risk groups based on the median risk score. Furthermore, a nomogram was constructed based on the TCGA dataset. The prognostic value of the risk signature model was evaluated by Kaplan-Meier curve, receiver operating characteristic (ROC), Harrell's concordance index and calibration curves. In addition, the gene expression dataset from the Gene Expression Omnibus (GEO) was also downloaded for external validation. The relative proportions of 22 types of infiltrating immune cells in each male GC sample were evaluated using CIBERSORT.

RESULTS

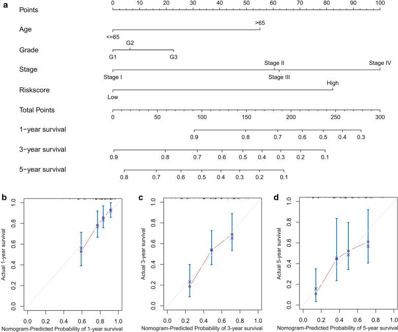
A total of 276 differentially expressed IRGs were screened, including 189 up-regulated and 87 down-regulated genes. Subsequently, a seven-IRGs signature (LCN12, CCL21, RNASE2, CGB5, NRG4, AGTR1 and NPR3) was identified to be significantly associated with the overall survival (OS) of male GC patients. Survival analysis indicated that patients in the high-risk group exhibited a poor clinical outcome. The results of multivariate analysis revealed that the risk score was an independent prognostic factor. The established nomogram could be used to evaluate the prognosis of individual male GC patients. Further analysis showed that the prognostic model had excellent predictive performance in both TCGA and validated cohorts. Besides, the results of tumour-infiltrating immune cell analysis indicated that the seven-IRGs signature could reflect the status of the tumour immune microenvironment.

CONCLUSIONS

Our study developed a novel seven-IRGs risk signature for individualized survival prediction of male GC patients.

摘要

背景

胃癌(GC)死亡率高,是最致命的恶性肿瘤之一。男性已被证明是胃癌的独立危险因素。本研究旨在鉴定与男性胃癌预后相关的免疫相关基因(IRGs)。

方法

从癌症基因组图谱(TCGA)数据库获取RNA测序和临床数据。通过综合生物信息学分析鉴定男性胃癌组织与正常组织之间差异表达的IRGs。应用单因素和多因素Cox回归分析筛选与生存相关的IRGs。然后,根据中位风险评分将胃癌患者分为高风险组和低风险组。此外,基于TCGA数据集构建了列线图。通过Kaplan-Meier曲线、受试者工作特征(ROC)曲线、Harrell一致性指数和校准曲线评估风险特征模型的预后价值。此外,还下载了来自基因表达综合数据库(GEO)的基因表达数据集进行外部验证。使用CIBERSORT评估每个男性胃癌样本中22种浸润性免疫细胞的相对比例。

结果

共筛选出276个差异表达的IRGs,包括189个上调基因和87个下调基因。随后,鉴定出一个由七个IRGs组成的特征(LCN12、CCL21、RNASE2、CGB5、NRG4、AGTR1和NPR3)与男性胃癌患者的总生存期(OS)显著相关。生存分析表明,高风险组患者的临床结局较差。多因素分析结果显示,风险评分是一个独立的预后因素。所建立的列线图可用于评估个体男性胃癌患者的预后。进一步分析表明,该预后模型在TCGA队列和验证队列中均具有出色的预测性能。此外,肿瘤浸润免疫细胞分析结果表明,七个IRGs组成的特征可反映肿瘤免疫微环境的状态。

结论

我们的研究开发了一种新的由七个IRGs组成的风险特征,用于男性胃癌患者的个体化生存预测。

https://cdn.ncbi.nlm.nih.gov/pmc/blobs/3a22/7891008/a41a39f729d1/12935_2021_1823_Fig1_HTML.jpg

文献AI研究员

20分钟写一篇综述,助力文献阅读效率提升50倍。

立即体验

用中文搜PubMed

大模型驱动的PubMed中文搜索引擎

马上搜索

文档翻译

学术文献翻译模型,支持多种主流文档格式。

立即体验