Suppr超能文献

年龄、疾病严重程度和种族影响多民族 COVID-19 队列中的体液反应。

Age, Disease Severity and Ethnicity Influence Humoral Responses in a Multi-Ethnic COVID-19 Cohort.

机构信息

Department of Integrative Biomedical Sciences, Faculty of Health Sciences, University of Cape Town, Cape Town 7925, South Africa.

Neurological Disorders Research Center, Qatar Biomedical Research Institute (QBRI), Hamad Bin Khalifa University, Qatar. Foundation, Doha P.O. Box 34110, Qatar.

出版信息

Viruses. 2021 Apr 28;13(5):786. doi: 10.3390/v13050786.

Abstract

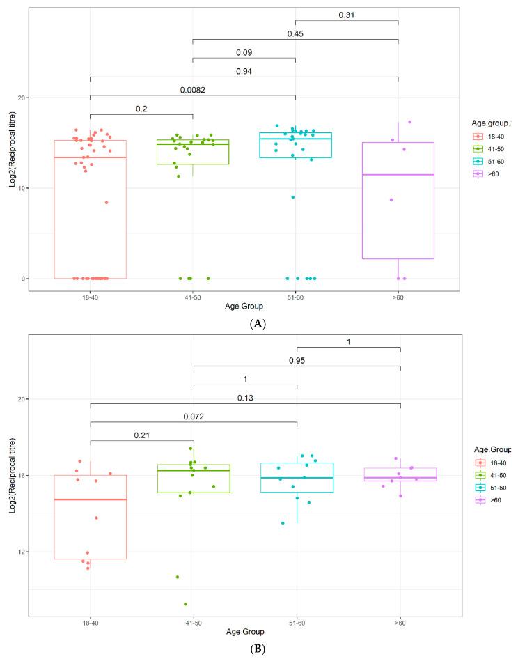
The COVID-19 pandemic has affected all individuals across the globe in some way. Despite large numbers of reported seroprevalence studies, there remains a limited understanding of how the magnitude and epitope utilization of the humoral immune response to SARS-CoV-2 viral anti-gens varies within populations following natural infection. Here, we designed a quantitative, multi-epitope protein microarray comprising various nucleocapsid protein structural motifs, including two structural domains and three intrinsically disordered regions. Quantitative data from the microarray provided complete differentiation between cases and pre-pandemic controls (100% sensitivity and specificity) in a case-control cohort ( = 100). We then assessed the influence of disease severity, age, and ethnicity on the strength and breadth of the humoral response in a multi-ethnic cohort ( = 138). As expected, patients with severe disease showed significantly higher antibody titers and interestingly also had significantly broader epitope coverage. A significant increase in antibody titer and epitope coverage was observed with increasing age, in both mild and severe disease, which is promising for vaccine efficacy in older individuals. Additionally, we observed significant differences in the breadth and strength of the humoral immune response in relation to ethnicity, which may reflect differences in genetic and lifestyle factors. Furthermore, our data enabled localization of the immuno-dominant epitope to the C-terminal structural domain of the viral nucleocapsid protein in two independent cohorts. Overall, we have designed, validated, and tested an advanced serological assay that enables accurate quantitation of the humoral response post natural infection and that has revealed unexpected differences in the magnitude and epitope utilization within a population.

摘要

COVID-19 大流行以某种方式影响了全球所有人。尽管有大量报告的血清流行率研究,但对于自然感染后人群中针对 SARS-CoV-2 病毒抗原的体液免疫反应的幅度和表位利用仍知之甚少。在这里,我们设计了一种定量的、多表位蛋白质微阵列,包含各种核衣壳蛋白结构基序,包括两个结构域和三个固有无序区域。微阵列的定量数据在病例对照队列(n=100)中提供了病例和大流行前对照之间的完全区分(100%的敏感性和特异性)。然后,我们在多民族队列(n=138)中评估了疾病严重程度、年龄和种族对体液反应强度和广度的影响。如预期的那样,严重疾病患者的抗体滴度明显更高,有趣的是,它们的表位覆盖率也明显更广。在轻度和重度疾病中,随着年龄的增长,抗体滴度和表位覆盖率都显著增加,这对老年人的疫苗功效是有希望的。此外,我们观察到与种族有关的体液免疫反应的广度和强度存在显著差异,这可能反映了遗传和生活方式因素的差异。此外,我们的数据使我们能够在两个独立的队列中将免疫显性表位定位到病毒核衣壳蛋白的 C 末端结构域。总的来说,我们设计、验证和测试了一种先进的血清学检测方法,能够准确定量自然感染后的体液反应,并揭示了人群中反应幅度和表位利用的意外差异。

https://cdn.ncbi.nlm.nih.gov/pmc/blobs/e7c4/8146997/c06a2e384c10/viruses-13-00786-g001.jpg

文献AI研究员

20分钟写一篇综述,助力文献阅读效率提升50倍。

立即体验

用中文搜PubMed

大模型驱动的PubMed中文搜索引擎

马上搜索

文档翻译

学术文献翻译模型,支持多种主流文档格式。

立即体验