Suppr超能文献

氨基酸和蛋白质生物合成途径中抗真菌药物的分子靶标。

Molecular targets for antifungals in amino acid and protein biosynthetic pathways.

机构信息

Department of Pharmaceutical Technology and Biochemistry and BioTechMed Center, Gdańsk University of Technology, Gdańsk, Poland.

出版信息

Amino Acids. 2021 Jul;53(7):961-991. doi: 10.1007/s00726-021-03007-6. Epub 2021 Jun 3.

Abstract

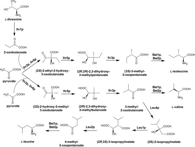
Fungi cause death of over 1.5 million people every year, while cutaneous mycoses are among the most common infections in the world. Mycoses vary greatly in severity, there are long-term skin (ringworm), nail or hair infections (tinea capitis), recurrent like vaginal candidiasis or severe, life-threatening systemic, multiorgan infections. In the last few years, increasing importance is attached to the health and economic problems caused by fungal pathogens. There is a growing need for improvement of the availability of antifungal drugs, decreasing their prices and reducing side effects. Searching for novel approaches in this respect, amino acid and protein biosynthesis pathways appear to be competitive. The route that leads from amino acid biosynthesis to protein folding and its activation is rich in enzymes that are descriptive of fungi. Blocking the action of those enzymes often leads to avirulence or growth inhibition. In this review, we want to trace the principal processes of fungi vitality. We present the data of genes encoding enzymes involved in amino acid and protein biosynthesis, potential molecular targets in antifungal chemotherapy, and describe the impact of inhibitors on fungal organisms.

摘要

真菌每年导致超过 150 万人死亡,而皮肤真菌病是世界上最常见的感染之一。真菌病的严重程度差异很大,有长期的皮肤(癣)、指甲或头发感染(头癣)、反复发作的阴道念珠菌病或严重的、危及生命的全身性、多器官感染。在过去几年中,真菌病原体引起的健康和经济问题的重要性日益增加。人们越来越需要改善抗真菌药物的供应,降低其价格并减少副作用。在这方面,寻找新的方法,氨基酸和蛋白质生物合成途径似乎具有竞争力。从氨基酸生物合成到蛋白质折叠及其激活的途径富含描述真菌的酶。阻断这些酶的作用通常会导致无毒性或生长抑制。在这篇综述中,我们想要追踪真菌活力的主要过程。我们介绍了参与氨基酸和蛋白质生物合成的酶的基因编码数据、抗真菌化疗中的潜在分子靶标,并描述了抑制剂对真菌的影响。

https://cdn.ncbi.nlm.nih.gov/pmc/blobs/b943/8241756/89bfb094d138/726_2021_3007_Fig1_HTML.jpg

文献AI研究员

20分钟写一篇综述,助力文献阅读效率提升50倍。

立即体验

用中文搜PubMed

大模型驱动的PubMed中文搜索引擎

马上搜索

文档翻译

学术文献翻译模型,支持多种主流文档格式。

立即体验