Suppr超能文献

通过 lncRNA 介导的 ceRNA 网络对肾透明细胞癌中的 lncRNA 生物标志物进行综合分析。

Comprehensive analysis of lncRNA biomarkers in kidney renal clear cell carcinoma by lncRNA-mediated ceRNA network.

机构信息

Department of Cardiovascular Surgery, The Second Xiangya Hospital of Central South University, Central South University, Changsha, P.R. China.

The Clinical Center for Gene Diagnosis and Therapy of The State Key Laboratory of Medical Genetics, The Second Xiangya Hospital of Central South University, Central South University, Changsha, Hunan, P.R. China.

出版信息

PLoS One. 2021 Jun 8;16(6):e0252452. doi: 10.1371/journal.pone.0252452. eCollection 2021.

Abstract

INTRODUCTION

Kidney renal clear cell carcinoma (KIRC) has a high incidence globally, and its pathogenesis remains unclear. Long non-coding RNA (lncRNA), as a molecular sponge, participates in the regulation of competitive endogenous RNA (ceRNA). We aimed to construct a ceRNA network and screened out possible lncRNAs to predict KIRC prognosis.

MATERIAL AND METHODS

All KIRC data were downloaded from the TCGA database and screened to find the possible target lncRNA; a ceRNA network was designed. Next, GO functional enrichment and KEGG pathway of differentially expressed mRNA related to lncRNA were performed. We used Kaplan-Meier curve analysis to predict the survival of these RNAs. We used Cox regression analysis to construct a model to predict KIRC prognosis.

RESULTS

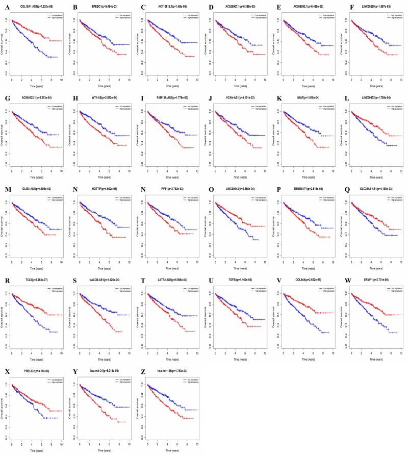
In the KIRC datasets, 1457 lncRNA, 54 miRNA and 2307 mRNA were screened out. The constructed ceRNA network contained 81 lncRNAs, nine miRNAs, and 17 mRNAs differentially expressed in KIRC. Survival analysis of all differentially expressed RNAs showed that 21 lncRNAs, four miRNAs, and two mRNAs were related to the overall survival rate. Cox regression analysis was performed again, and we found that eight lncRNAs were related to prognosis and used to construct predictive models. Three lnRNAs from independent samples were meaningful.

CONCLUSION

The construction of ceRNA network was involved in the process and transfer of KIRC, and three lncRNAs may be potential targets for predicting KIRC prognosis.

摘要

简介

肾透明细胞癌(KIRC)在全球发病率较高,其发病机制尚不清楚。长链非编码 RNA(lncRNA)作为分子海绵,参与竞争性内源性 RNA(ceRNA)的调控。我们旨在构建 ceRNA 网络,并筛选出可能的 lncRNA 来预测 KIRC 预后。

材料和方法

从 TCGA 数据库下载所有 KIRC 数据并进行筛选,以找到可能的靶 lncRNA;设计 ceRNA 网络。然后,对与 lncRNA 相关的差异表达 mRNA 进行 GO 功能富集和 KEGG 通路分析。我们使用 Kaplan-Meier 曲线分析预测这些 RNA 的生存情况。我们使用 Cox 回归分析构建模型来预测 KIRC 预后。

结果

在 KIRC 数据集,筛选出 1457 个 lncRNA、54 个 miRNA 和 2307 个 mRNA。构建的 ceRNA 网络包含 81 个 lncRNA、9 个 miRNA 和 17 个在 KIRC 中差异表达的 mRNA。所有差异表达 RNA 的生存分析显示,21 个 lncRNA、4 个 miRNA 和 2 个 mRNA 与总生存率相关。再次进行 Cox 回归分析,我们发现 8 个 lncRNA 与预后相关,并用于构建预测模型。三个独立样本中的 lncRNA 具有意义。

结论

ceRNA 网络的构建涉及 KIRC 的发生和转移,三个 lncRNA 可能是预测 KIRC 预后的潜在靶点。

https://cdn.ncbi.nlm.nih.gov/pmc/blobs/efe5/8186793/24359b7dcde1/pone.0252452.g001.jpg

文献AI研究员

20分钟写一篇综述,助力文献阅读效率提升50倍。

立即体验

用中文搜PubMed

大模型驱动的PubMed中文搜索引擎

马上搜索

文档翻译

学术文献翻译模型,支持多种主流文档格式。

立即体验