Suppr超能文献

基于异常 lncRNA-miRNA-mRNA 网络和 Cox 回归模型的肺腺癌预后生物标志物的综合分析。

Comprehensive analysis of prognostic biomarkers in lung adenocarcinoma based on aberrant lncRNA-miRNA-mRNA networks and Cox regression models.

机构信息

Clinical Medical Colleges, Weifang Medical University. Postal Addresses: NO.7166, Baotong western street, WeiFang, ShanDong Province, P.R. China.

College of First Clinical Medicine, Shandong University of Traditional Chinese Medicine. Postal Addresses: NO.16369, Jingshi Road, Jinan, ShanDong Province, P.R. China.

出版信息

Biosci Rep. 2020 Jan 31;40(1). doi: 10.1042/BSR20191554.

Abstract

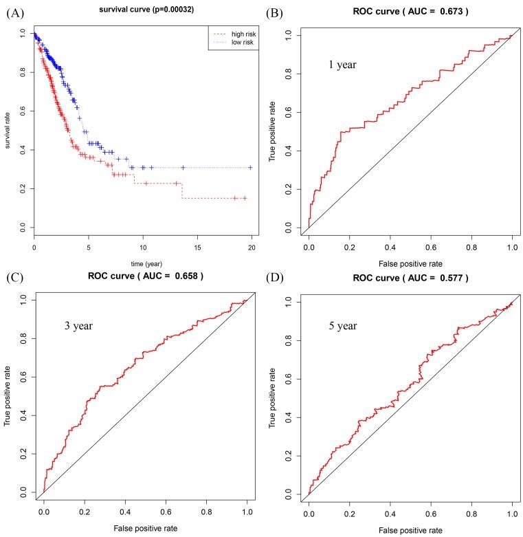
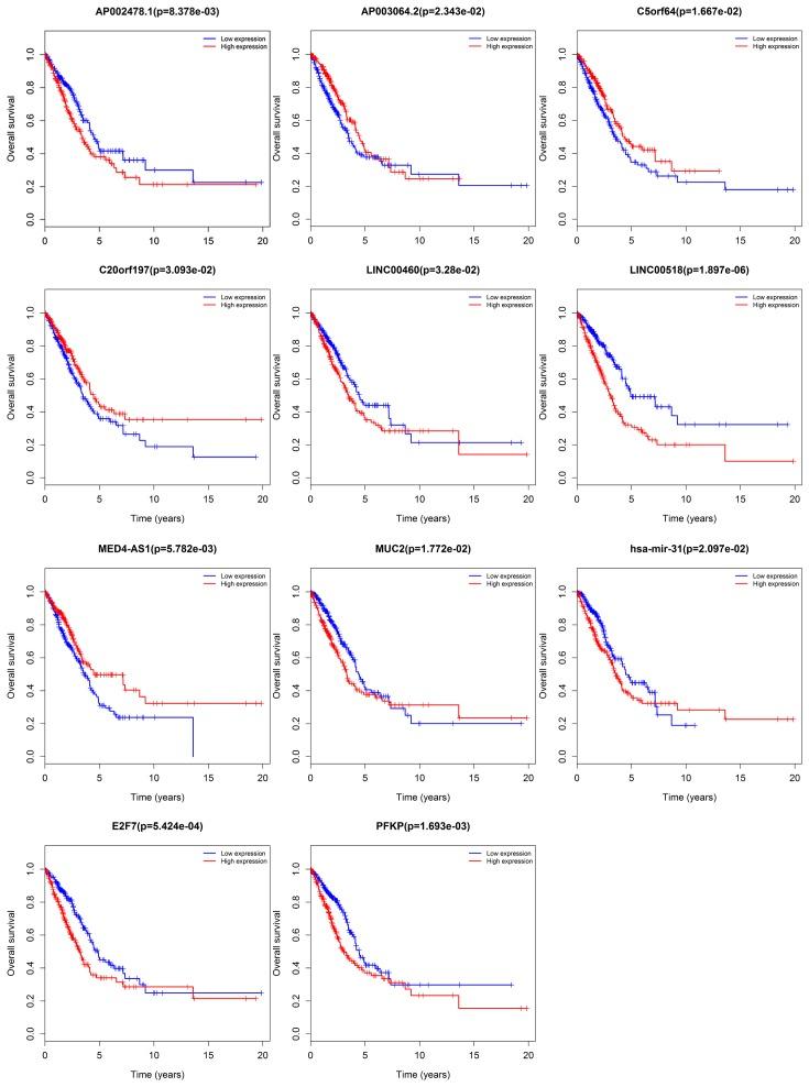
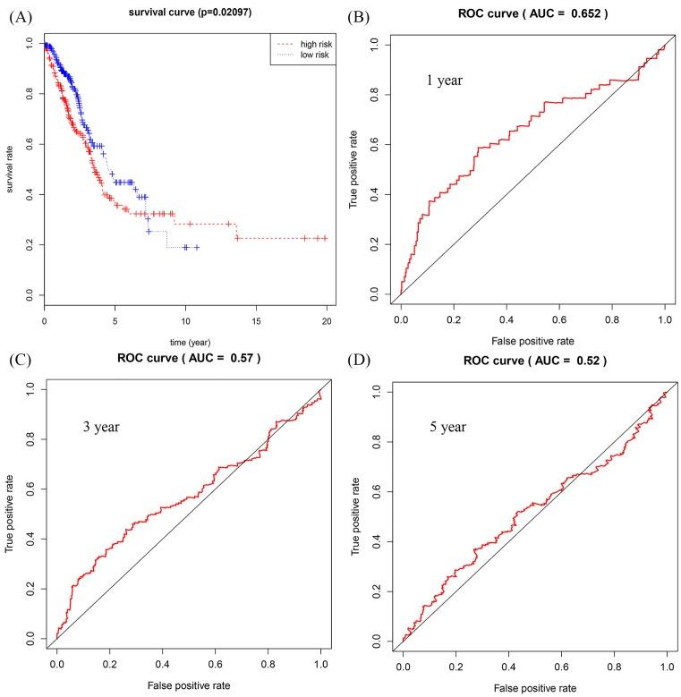
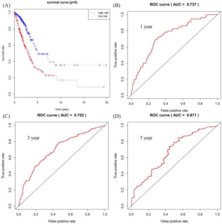
Lung adenocarcinoma (LUAD) is the leading cause of cancer-related death worldwide, and its underlying mechanism remains unclear. Accumulating evidence has highlighted that long non-coding RNA (lncRNA) acts as competitive endogenous RNA (ceRNA) and plays an important role in the occurrence and development of LUAD. Here, we comprehensively analyzed and provided an overview of the lncRNAs, miRNAs, and mRNAs associated with LUAD from The Cancer Genome Atlas (TCGA) database. Then, differentially expressed lncRNAs (DElncRNA), miRNAs (DEmiRNA), and mRNAs (DEmRNA) were used to construct a lncRNA-miRNA-mRNA regulatory network according to interaction information from miRcode, TargetScan, miRTarBase, and miRDB. Finally, the RNAs of the network were analyzed for survival and submitted for Cox regression analysis to construct prognostic indicators. A total of 1123 DElncRNAs, 95 DEmiRNAs, and 2296 DEmRNAs were identified (|log2FoldChange| (FC) > 2 and false discovery rate (FDR) or adjusted P value < 0.01). The ceRNA network was established based on this and included 102 lncRNAs, 19 miRNAs, and 33 mRNAs. The DEmRNAs in the ceRNA network were found to be enriched in various cancer-related biological processes and pathways. We detected 22 lncRNAs, 12 mRNAs, and 1 miRNA in the ceRNA network that were significantly associated with the overall survival of patients with LUAD (P < 0.05). We established three prognostic prediction models and calculated the area under the 1,3,5-year curve (AUC) values of lncRNA, mRNA, and miRNA, respectively. Among them, the prognostic index (PI) of lncRNA showed good predictive ability which was 0.737, 0.702 and 0.671 respectively, and eight lncRNAs can be used as candidate prognostic biomarkers for LUAD. In conclusion, our study provides a new perspective on the prognosis and diagnosis of LUAD on a genome-wide basis, and develops independent prognostic biomarkers for LUAD.

摘要

肺腺癌(LUAD)是全球癌症相关死亡的主要原因,但其潜在机制尚不清楚。越来越多的证据表明,长非编码 RNA(lncRNA)作为竞争性内源性 RNA(ceRNA),在 LUAD 的发生和发展中发挥着重要作用。在这里,我们从癌症基因组图谱(TCGA)数据库中全面分析并概述了与 LUAD 相关的 lncRNA、miRNA 和 mRNA。然后,根据 miRcode、TargetScan、miRTarBase 和 miRDB 的相互作用信息,使用差异表达的 lncRNA(DElncRNA)、miRNA(DEmiRNA)和 mRNA(DEmRNA)构建 lncRNA-miRNA-mRNA 调控网络。最后,对网络中的 RNA 进行生存分析,并提交 Cox 回归分析构建预后指标。共鉴定出 1123 个 DElncRNA、95 个 DEmiRNA 和 2296 个 DEmRNA(|log2FoldChange|(FC)>2,假发现率(FDR)或调整后 P 值<0.01)。在此基础上建立了 ceRNA 网络,包含 102 个 lncRNA、19 个 miRNA 和 33 个 mRNA。ceRNA 网络中的 DEmRNA 被发现富集在各种癌症相关的生物过程和途径中。我们在 ceRNA 网络中检测到 22 个 lncRNA、12 个 mRNA 和 1 个 miRNA 与 LUAD 患者的总生存率显著相关(P<0.05)。我们建立了三个预后预测模型,并分别计算了 lncRNA、mRNA 和 miRNA 的 1、3、5 年曲线下面积(AUC)值。其中,lncRNA 预后指数(PI)具有较好的预测能力,分别为 0.737、0.702 和 0.671,8 个 lncRNA 可作为 LUAD 的候选预后生物标志物。综上所述,本研究从全基因组水平为 LUAD 的预后和诊断提供了新的视角,并开发了 LUAD 的独立预后生物标志物。

https://cdn.ncbi.nlm.nih.gov/pmc/blobs/e2a4/6997105/8f9ea968c9f0/bsr-40-bsr20191554-g1.jpg

文献AI研究员

20分钟写一篇综述,助力文献阅读效率提升50倍。

立即体验

用中文搜PubMed

大模型驱动的PubMed中文搜索引擎

马上搜索

文档翻译

学术文献翻译模型,支持多种主流文档格式。

立即体验