Suppr超能文献

口腔 pH 值可预测鼻咽癌患者放疗相关性龋齿的发生。

Oral pH value predicts the incidence of radiotherapy related caries in nasopharyngeal carcinoma patients.

机构信息

Department of Radiation and Medical Oncology, Zhongnan Hospital of Wuhan University, 169, Donghu Road, Wuchang District, Wuhan, 430071, Hubei Province, China.

Hubei Key Laboratory of Tumor Biological Behaviors, Zhongnan Hospital of Wuhan University, 169, Donghu Road, Wuchang District, Wuhan, 430071, Hubei Province, China.

出版信息

Sci Rep. 2021 Jun 10;11(1):12283. doi: 10.1038/s41598-021-91600-w.

Abstract

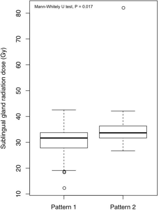
Radiotherapy-related caries is a complication of radiotherapy for nasopharyngeal carcinoma; however, factors influencing the occurrence, accurate prediction of onset, and protective factors of radiotherapy-related caries remain unclear. This study analyzed risk factors, disease predictors, and protective factors for radiotherapy-related caries in nasopharyngeal carcinoma. This prospective study included 138 nasopharyngeal carcinoma patients receiving radical radiotherapy at our hospital during June 2012-December 2016 and were followed up for dental caries. Patients' clinical data on radiotherapy were collected, dynamic monitoring was performed to assess changes in oral pH values, and a questionnaire survey was administered to collect patients' lifestyle habits. Time-dependent cox regression trees, event-free Kaplan-Meier curve, Mann-Whitely U test were used to analysis the results. The median follow-up time was 30 (12-60) months. Radiotherapy-related caries occurred in 28 cases (20.3%). Univariate analyses showed that radiotherapy-related caries was associated with patient's age, oral saliva pH value, green tea consumption, and radiation dose to sublingual glands, but not with the radiation dose to the parotid and submandibular glands. Multivariate analysis showed that oral saliva pH value [hazard ratio (HR) = 0.390, 95% confidence interval = 0.204-0.746] was an independent prognostic factor for radiotherapy-related caries. Patients with oral saliva pH values ≤ 5.3 in the 9th month after radiotherapy represented a significantly higher risks for radiotherapy-related caries (p < 0.001). Green tea consumption was associated with the occurrence of radiotherapy-related caries, and oral saliva pH values could predict the occurrence of radiotherapy-related caries. Limiting radiation doses to sublingual glands can reduce the occurrence of radiotherapy-related caries.

摘要

放疗相关性龋齿是鼻咽癌放疗的一种并发症;然而,影响放疗相关性龋齿发生的因素、发病的准确预测以及保护因素仍不清楚。本研究分析了鼻咽癌放疗相关性龋齿的危险因素、疾病预测因素和保护因素。这项前瞻性研究纳入了 2012 年 6 月至 2016 年 12 月在我院接受根治性放疗的 138 例鼻咽癌患者,并对其进行了龋齿随访。收集患者放疗的临床资料,动态监测口腔 pH 值变化,问卷调查收集患者生活习惯。采用时间依赖 Cox 回归树、无事件 Kaplan-Meier 曲线、Mann-Whitely U 检验进行分析。中位随访时间为 30(12-60)个月。28 例(20.3%)发生放疗相关性龋齿。单因素分析显示,放疗相关性龋齿与患者年龄、口腔唾液 pH 值、绿茶摄入、舌下腺受照剂量有关,与腮腺和颌下腺受照剂量无关。多因素分析显示,口腔唾液 pH 值[风险比(HR)=0.390,95%置信区间(CI)=0.204-0.746]是放疗相关性龋齿的独立预后因素。放疗后第 9 个月口腔唾液 pH 值≤5.3 的患者发生放疗相关性龋齿的风险显著增加(p<0.001)。绿茶摄入与放疗相关性龋齿的发生有关,口腔唾液 pH 值可预测放疗相关性龋齿的发生。限制舌下腺的照射剂量可以减少放疗相关性龋齿的发生。

https://cdn.ncbi.nlm.nih.gov/pmc/blobs/13fe/8192759/12dc149e099c/41598_2021_91600_Fig1_HTML.jpg

文献AI研究员

20分钟写一篇综述,助力文献阅读效率提升50倍。

立即体验

用中文搜PubMed

大模型驱动的PubMed中文搜索引擎

马上搜索

文档翻译

学术文献翻译模型,支持多种主流文档格式。

立即体验