Suppr超能文献

在食蟹猴中,即使没有 CD8+ T 细胞,也可以控制亚急性 SARS-CoV-2 复制。

Subacute SARS-CoV-2 replication can be controlled in the absence of CD8+ T cells in cynomolgus macaques.

机构信息

AIDS Research Center, National Institute of Infectious Diseases, Tokyo, Japan.

Institute of Medical Science, University of Tokyo, Tokyo, Japan.

出版信息

PLoS Pathog. 2021 Jul 19;17(7):e1009668. doi: 10.1371/journal.ppat.1009668. eCollection 2021 Jul.

Abstract

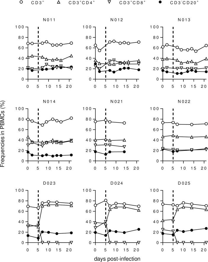
SARS-CoV-2 infection presents clinical manifestations ranging from asymptomatic to fatal respiratory failure. Despite the induction of functional SARS-CoV-2-specific CD8+ T-cell responses in convalescent individuals, the role of virus-specific CD8+ T-cell responses in the control of SARS-CoV-2 replication remains unknown. In the present study, we show that subacute SARS-CoV-2 replication can be controlled in the absence of CD8+ T cells in cynomolgus macaques. Eight macaques were intranasally inoculated with 105 or 106 TCID50 of SARS-CoV-2, and three of the eight macaques were treated with a monoclonal anti-CD8 antibody on days 5 and 7 post-infection. In these three macaques, CD8+ T cells were undetectable on day 7 and thereafter, while virus-specific CD8+ T-cell responses were induced in the remaining five untreated animals. Viral RNA was detected in nasopharyngeal swabs for 10-17 days post-infection in all macaques, and the kinetics of viral RNA levels in pharyngeal swabs and plasma neutralizing antibody titers were comparable between the anti-CD8 antibody treated and untreated animals. SARS-CoV-2 RNA was detected in the pharyngeal mucosa and/or retropharyngeal lymph node obtained at necropsy on day 21 in two of the untreated group but undetectable in all macaques treated with anti-CD8 antibody. CD8+ T-cell responses may contribute to viral control in SARS-CoV-2 infection, but our results indicate possible containment of subacute viral replication in the absence of CD8+ T cells, implying that CD8+ T-cell dysfunction may not solely lead to viral control failure.

摘要

SARS-CoV-2 感染的临床表现从无症状到致命性呼吸衰竭不等。尽管在恢复期个体中诱导了功能性 SARS-CoV-2 特异性 CD8+ T 细胞反应,但病毒特异性 CD8+ T 细胞反应在控制 SARS-CoV-2 复制中的作用尚不清楚。在本研究中,我们表明在食蟹猴中缺乏 CD8+ T 细胞可以控制亚急性 SARS-CoV-2 复制。八只食蟹猴经鼻腔接种 105 或 106TCID50 的 SARS-CoV-2,其中三只于感染后第 5 天和第 7 天用抗 CD8 单克隆抗体治疗。在这三只猴子中,CD8+ T 细胞在第 7 天及之后无法检测到,而在未治疗的其余五只动物中诱导了病毒特异性 CD8+ T 细胞反应。所有猴子在感染后 10-17 天均可从鼻咽拭子中检测到病毒 RNA,抗 CD8 抗体治疗和未治疗动物的咽拭子和血浆中和抗体滴度的病毒 RNA 水平动力学相似。在未治疗组的两只动物中,在第 21 天尸检时在咽黏膜和/或咽后淋巴结中检测到 SARS-CoV-2 RNA,但在所有用抗 CD8 抗体治疗的动物中均未检测到。CD8+ T 细胞反应可能有助于 SARS-CoV-2 感染的病毒控制,但我们的结果表明,在缺乏 CD8+ T 细胞的情况下,亚急性病毒复制可能得到控制,这意味着 CD8+ T 细胞功能障碍可能不会导致病毒控制失败。

https://cdn.ncbi.nlm.nih.gov/pmc/blobs/b85a/8321216/7c8d147f9771/ppat.1009668.g001.jpg

文献AI研究员

20分钟写一篇综述,助力文献阅读效率提升50倍。

立即体验

用中文搜PubMed

大模型驱动的PubMed中文搜索引擎

马上搜索

文档翻译

学术文献翻译模型,支持多种主流文档格式。

立即体验