Suppr超能文献

miR-30a-5p 通过靶向 ECT2 调节肺腺癌细胞的活力、迁移和侵袭。

miR-30a-5p Regulates Viability, Migration, and Invasion of Lung Adenocarcinoma Cells via Targeting ECT2.

机构信息

Department of Pharmacy, The Children's Hospital, Zhejiang University School of Medicine, National Clinical Research Center for Child Health, Hangzhou 310000, China.

Department of Gastroenterology, Taizhou Municipal Hospital, Taizhou 318000, China.

出版信息

Comput Math Methods Med. 2021 Jul 7;2021:6241469. doi: 10.1155/2021/6241469. eCollection 2021.

Abstract

OBJECTIVE

The abnormal expression of epithelial cell transforming sequence 2 (ECT2) is often considered the driving factor for the growth and invasion of tumors. This study was performed to investigate the regulatory effect of miR-30a-5p and ECT2 on lung adenocarcinoma (LUAD), which provides a basis for the effective clinical treatment of LUAD.

METHODS

The mature miRNAs, expression data of mRNAs, and clinical data of LUAD were downloaded from The Cancer Genome Atlas (TCGA). The expression levels of ECT2 mRNA and miR-30a-5p in cancer cell lines were detected by qRT-PCR. Western blot was performed to test the expression of ECT2 protein. The targeting relationship between miR-30a-5p and ECT2 was verified by dual-luciferase assay. The CCK-8 method and Transwell assay were conducted to test the viability, migratory, and invasive abilities of cells.

RESULTS

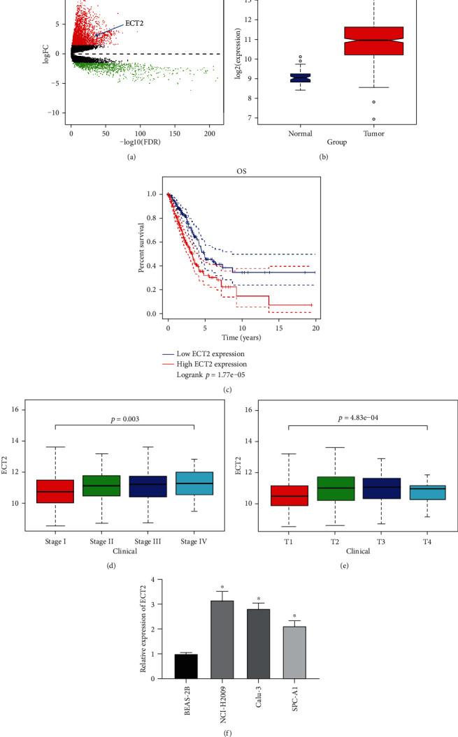
ECT2 expression was upregulated in LUAD and was significantly correlated with the LUAD clinical stage and pathologic T stage, and the expression of its upstream regulatory gene miR-30a-5p was downregulated. miR-30a-5p targeted ECT2 in LUAD. Downregulation of ECT2 could inhibit the viability, migration, and invasion of LUAD cells, which could be reversed by simultaneously suppressing the expression of miR-30a-5p.

CONCLUSION

Our results suggested that miR-30a-5p repressed the malignant progression of LUAD via downregulating ECT2. miR-30a-5p and ECT2 may be effective targets for LUAD patients.

摘要

目的

上皮细胞转化序列 2(ECT2)的异常表达常被认为是肿瘤生长和侵袭的驱动因素。本研究旨在探讨 miR-30a-5p 和 ECT2 对肺腺癌(LUAD)的调控作用,为 LUAD 的有效临床治疗提供依据。

方法

从癌症基因组图谱(TCGA)中下载成熟 miRNA、mRNA 表达数据和 LUAD 临床数据。采用 qRT-PCR 检测癌系细胞中 ECT2 mRNA 和 miR-30a-5p 的表达水平。Western blot 检测 ECT2 蛋白的表达。双荧光素酶报告实验验证 miR-30a-5p 与 ECT2 的靶向关系。CCK-8 法和 Transwell 实验检测细胞的活力、迁移和侵袭能力。

结果

在 LUAD 中 ECT2 的表达上调,且与 LUAD 的临床分期和病理 T 分期显著相关,其上游调控基因 miR-30a-5p 的表达下调。miR-30a-5p 在 LUAD 中靶向 ECT2。下调 ECT2 可抑制 LUAD 细胞的活力、迁移和侵袭,同时抑制 miR-30a-5p 的表达可逆转这一作用。

结论

我们的结果表明,miR-30a-5p 通过下调 ECT2 抑制 LUAD 的恶性进展。miR-30a-5p 和 ECT2 可能是 LUAD 患者的有效治疗靶点。

https://cdn.ncbi.nlm.nih.gov/pmc/blobs/56e0/8279846/8ca3941aac3b/CMMM2021-6241469.001.jpg

文献AI研究员

20分钟写一篇综述,助力文献阅读效率提升50倍。

立即体验

用中文搜PubMed

大模型驱动的PubMed中文搜索引擎

马上搜索

文档翻译

学术文献翻译模型,支持多种主流文档格式。

立即体验