Suppr超能文献

最小信号硫醇代谢物硫化氢的生物合成、定量分析及遗传疾病

Biosynthesis, Quantification and Genetic Diseases of the Smallest Signaling Thiol Metabolite: Hydrogen Sulfide.

作者信息

Myszkowska Joanna, Derevenkov Ilia, Makarov Sergei V, Spiekerkoetter Ute, Hannibal Luciana

机构信息

Laboratory of Clinical Biochemistry and Metabolism, Department of General Pediatrics, Adolescent Medicine and Neonatology, Medical Center, Faculty of Medicine, University of Freiburg, 79106 Freiburg, Germany.

Department of Food Chemistry, Ivanovo State University of Chemistry and Technology, 153000 Ivanovo, Russia.

出版信息

Antioxidants (Basel). 2021 Jul 1;10(7):1065. doi: 10.3390/antiox10071065.

Abstract

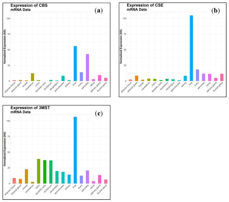
Hydrogen sulfide (HS) is a gasotransmitter and the smallest signaling thiol metabolite with important roles in human health. The turnover of HS in humans is mainly governed by enzymes of sulfur amino acid metabolism and also by the microbiome. As is the case with other small signaling molecules, disease-promoting effects of HS largely depend on its concentration and compartmentalization. Genetic defects that impair the biogenesis and catabolism of HS have been described; however, a gap in knowledge remains concerning physiological steady-state concentrations of HS and their direct clinical implications. The small size and considerable reactivity of HS renders its quantification in biological samples an experimental challenge. A compilation of methods currently employed to quantify HS in biological specimens is provided in this review. Substantial discrepancy exists in the concentrations of HS determined by different techniques. Available methodologies permit end-point measurement of HS concentration, yet no definitive protocol exists for the continuous, real-time measurement of HS produced by its enzymatic sources. We present a summary of available animal models, monogenic diseases that impair HS metabolism in humans including structure-function relationships of pathogenic mutations, and discuss possible approaches to overcome current limitations of study.

摘要

硫化氢(HS)是一种气体信号分子,也是最小的具有信号传导作用的硫醇代谢产物,在人类健康中发挥着重要作用。人体内HS的周转主要受硫氨基酸代谢酶以及微生物群的调控。与其他小信号分子一样,HS的促病作用很大程度上取决于其浓度和分布。已有关于损害HS生物合成和分解代谢的遗传缺陷的描述;然而,关于HS的生理稳态浓度及其直接临床意义,仍存在知识空白。HS体积小且反应活性高,这使得在生物样品中对其进行定量成为一项实验挑战。本综述提供了目前用于定量生物标本中HS的方法汇编。不同技术测定的HS浓度存在很大差异。现有方法可对HS浓度进行终点测量,但尚无用于连续、实时测量其酶源产生的HS的明确方案。我们总结了可用的动物模型、损害人类HS代谢的单基因疾病,包括致病突变的结构 - 功能关系,并讨论了克服当前研究局限性的可能方法。

https://cdn.ncbi.nlm.nih.gov/pmc/blobs/3d11/8301176/fd36df2f7e54/antioxidants-10-01065-g001.jpg

文献AI研究员

20分钟写一篇综述,助力文献阅读效率提升50倍。

立即体验

用中文搜PubMed

大模型驱动的PubMed中文搜索引擎

马上搜索

文档翻译

学术文献翻译模型,支持多种主流文档格式。

立即体验