Suppr超能文献

探戈需两人共舞:细菌生物膜为以真菌为食的细菌捕食者提供保护。

It Takes Two to Tango: A Bacterial Biofilm Provides Protection against a Fungus-Feeding Bacterial Predator.

作者信息

Sharma Shubhangi, Compant Stéphane, Franken Philipp, Ruppel Silke, Ballhausen Max-Bernhard

机构信息

Leibniz Institute of Vegetable and Ornamental Crops, Theodor-Echtermeyer-Weg 1, 14979 Großbeeren, Germany.

AIT Austrian Institute of Technology, Center for Health and Bioresources, Konrad Lorenz Strasse 24, 3430 Tulln, Austria.

出版信息

Microorganisms. 2021 Jul 23;9(8):1566. doi: 10.3390/microorganisms9081566.

Abstract

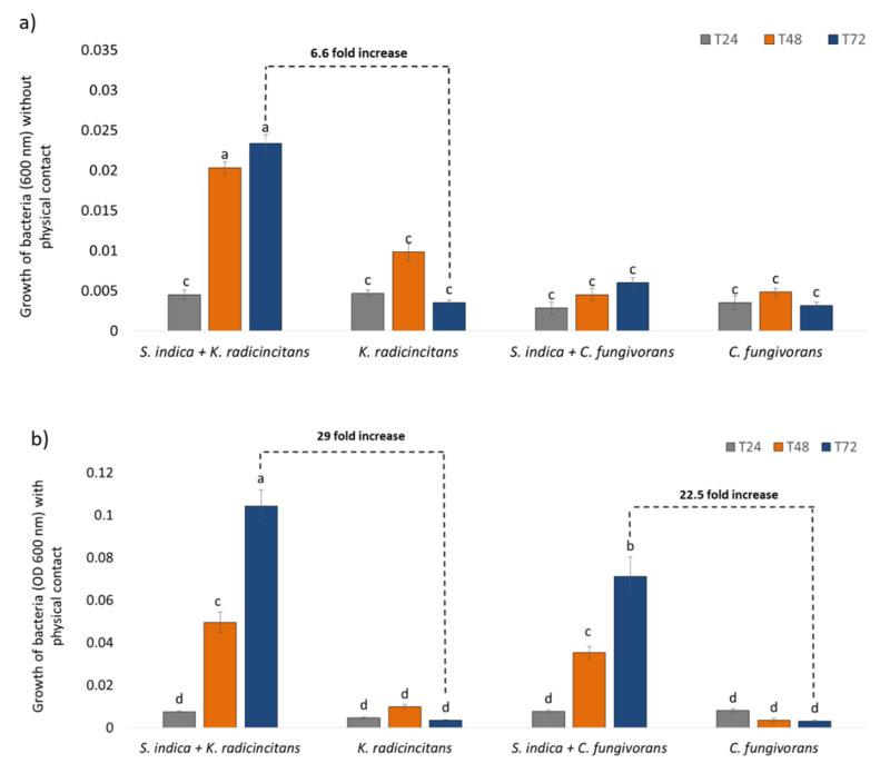
Fungus-bacterium interactions are widespread, encompass multiple interaction types from mutualism to parasitism, and have been frequent targets for microbial inoculant development. In this study, using in vitro systems combined with confocal laser scanning microscopy and real-time quantitative PCR, we test whether the nitrogen-fixing bacterium can provide protection to the plant-beneficial fungus , which inhabits the rhizosphere and colonizes plants as an endophyte, from the fungus-feeding bacterium . We show that can protect fungal hyphae from bacterial feeding on solid agar medium, with probable mechanisms being quick hyphal colonization and biofilm formation. We furthermore find evidence for different feeding modes of and , namely "metabolite" and "hyphal feeding", respectively. Overall, we demonstrate, to our knowledge, the first evidence for a bacterial, biofilm-based protection of fungal hyphae against attack by a fungus-feeding, bacterial predator on solid agar medium. Besides highlighting the importance of tripartite microbial interactions, we discuss implications of our results for the development and application of microbial consortium-based bioprotectants and biostimulants.

摘要

真菌与细菌之间的相互作用广泛存在,涵盖从共生到寄生的多种相互作用类型,并且一直是微生物接种剂开发的常见目标。在本研究中,我们使用体外系统结合共聚焦激光扫描显微镜和实时定量PCR,来测试固氮细菌是否能够保护作为内生菌栖息于根际并定殖于植物的植物有益真菌免受噬真菌细菌的侵害。我们发现,该固氮细菌能够在固体琼脂培养基上保护真菌菌丝免受细菌取食,可能的机制是菌丝的快速定殖和生物膜形成。此外,我们还发现了该噬真菌细菌和固氮细菌不同取食模式的证据,即分别为“代谢物取食”和“菌丝取食”。总体而言,据我们所知,我们首次证明了在固体琼脂培养基上,细菌基于生物膜对真菌菌丝提供保护,使其免受噬真菌细菌捕食的证据。除了强调三方微生物相互作用的重要性外,我们还讨论了我们的研究结果对基于微生物联合体的生物保护剂和生物刺激剂开发与应用的意义。

https://cdn.ncbi.nlm.nih.gov/pmc/blobs/57df/8398733/d258e6318749/microorganisms-09-01566-g001.jpg

文献AI研究员

20分钟写一篇综述,助力文献阅读效率提升50倍。

立即体验

用中文搜PubMed

大模型驱动的PubMed中文搜索引擎

马上搜索

文档翻译

学术文献翻译模型,支持多种主流文档格式。

立即体验