Suppr超能文献

比较转录组分析以鉴定栽培草莓(×)中赋予抗[具体病害或其他抗性对象未给出]抗性的候选基因。

Comparative Transcriptome Analysis to Identify Candidate Genes for Conferring Resistance Against in Cultivated Strawberry ( × ).

作者信息

Chandra Saket, Oh Youngjae, Han Hyeondae, Salinas Natalia, Anciro Ashlee, Whitaker Vance M, Chacon Jose Guillermo, Fernandez Gina, Lee Seonghee

机构信息

Department of Horticultural Sciences, University of Florida-IFAS Gulf Coast Research and Education Center, Wimauma, FL, United States.

Department of Horticultural Sciences, North Carolina State University, Raleigh, NC, United States.

出版信息

Front Genet. 2021 Aug 24;12:730444. doi: 10.3389/fgene.2021.730444. eCollection 2021.

Abstract

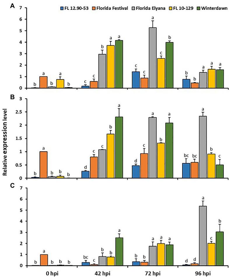
crown rot (CCR) caused by is a serious threat to the cultivated strawberry (). Our previous study reported that a major locus, , increases resistance. However, the genomic structure of and potential candidate genes associated with the resistance remained unknown. Here, we performed comparative transcriptome analyses of resistant 'Florida Elyana' and susceptible 'Strawberry Festival' after infection and identified candidate genes potentially involved in resistance. In 'Florida Elyana', 6,099 genes were differentially expressed in response to . Gene ontology analysis showed that the most upregulated genes were functionally associated with signaling pathways of plant defense responses. Three genes in the genomic region of were highly upregulated: a von Willebrand Factor A domain-containing protein, a subtilisin-like protease, and a TIFY 11A-like protein. Subgenome-specific markers developed for the candidate genes were tested with a diverse panel of 219 accessions from University of Florida and North Carolina State University breeding programs. Significant and positive associations were found between the high-resolution melting (HRM) marker genotypes and CCR phenotypes. These newly developed subgenome-specific functional markers for can facilitate development of resistant varieties through marker-assisted selection.

摘要

由[病原体名称未给出]引起的冠腐病(CCR)对栽培草莓([草莓品种未给出])构成严重威胁。我们之前的研究报告称,一个主要基因座[基因座名称未给出]可增强抗性。然而,[基因座名称未给出]的基因组结构以及与该抗性相关的潜在候选基因仍不清楚。在此,我们对感染后的抗性品种‘Florida Elyana’和感病品种‘Strawberry Festival’进行了比较转录组分析,并鉴定出可能参与抗性的候选基因。在‘Florida Elyana’中,有6099个基因在响应[病原体名称未给出]时差异表达。基因本体分析表明,上调最显著的基因在功能上与植物防御反应的信号通路相关。在[基因座名称未给出]的基因组区域中有三个基因高度上调:一个含血管性血友病因子A结构域的蛋白、一个枯草杆菌蛋白酶样蛋白酶和一个类TIFY 11A蛋白。为这些候选基因开发的亚基因组特异性标记在来自佛罗里达大学和北卡罗来纳州立大学育种项目的219份不同种质资源中进行了测试。在高分辨率熔解(HRM)标记基因型与CCR表型之间发现了显著的正相关。这些新开发的[基因座名称未给出]亚基因组特异性功能标记可通过标记辅助选择促进抗性品种的培育。

https://cdn.ncbi.nlm.nih.gov/pmc/blobs/aa2d/8422960/88ffd919f212/fgene-12-730444-g001.jpg

文献AI研究员

20分钟写一篇综述,助力文献阅读效率提升50倍。

立即体验

用中文搜PubMed

大模型驱动的PubMed中文搜索引擎

马上搜索

文档翻译

学术文献翻译模型,支持多种主流文档格式。

立即体验