Suppr超能文献

江苏省 COVID-19 疫情期间干预措施对自然疫源性疾病发病的影响。

Impact of interventions on the incidence of natural focal diseases during the outbreak of COVID-19 in Jiangsu Province, China.

机构信息

Jiangsu Provincial Center for Disease Control and Prevention (Jiangsu Institution of Public Health), Nanjing, 210009, Jiangsu, People's Republic of China.

State Key Laboratory of Molecular Vaccinology and Molecular Diagnostics, School of Public Health, Xiamen University, Xiamen, 361102, Fujian, People's Republic of China.

出版信息

Parasit Vectors. 2021 Sep 19;14(1):483. doi: 10.1186/s13071-021-04986-x.

Abstract

BACKGROUND

During the period of the coronavirus disease 2019 (COVID-19) outbreak, strong intervention measures, such as lockdown, travel restriction, and suspension of work and production, may have curbed the spread of other infectious diseases, including natural focal diseases. In this study, we aimed to study the impact of COVID-19 prevention and control measures on the reported incidence of natural focal diseases (brucellosis, malaria, hemorrhagic fever with renal syndrome [HFRS], dengue, severe fever with thrombocytopenia syndrome [SFTS], rabies, tsutsugamushi and Japanese encephalitis [JE]).

METHODS

The data on daily COVID-19 confirmed cases and natural focal disease cases were collected from Jiangsu Provincial Center for Disease Control and Prevention (Jiangsu Provincial CDC). We described and compared the difference between the incidence in 2020 and the incidence in 2015-2019 in four aspects: trend in reported incidence, age, sex, and urban and rural distribution. An autoregressive integrated moving average (ARIMA) (p, d, q) × (P, D, Q) model was adopted for natural focal diseases, malaria and severe fever with thrombocytopenia syndrome (SFTS), and an ARIMA (p, d, q) model was adopted for dengue. Nonparametric tests were used to compare the reported and the predicted incidence in 2020, the incidence in 2020 and the previous 4 years, and the difference between the duration from illness onset date to diagnosed date (DID) in 2020 and in the previous 4 years. The determination coefficient (R) was used to evaluate the goodness of fit of the model simulation.

RESULTS

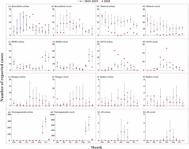
Natural focal diseases in Jiangsu Province showed a long-term seasonal trend. The reported incidence of natural focal diseases, malaria and dengue in 2020 was lower than the predicted incidence, and the difference was statistically significant (P < 0.05). The reported incidence of brucellosis in July, August, October and November 2020, and SFTS in May to November 2020 was higher than that in the same period in the previous 4 years (P < 0.05). The reported incidence of malaria in April to December 2020, HFRS in March, May and December 2020, and dengue in July to November 2020 was lower than that in the same period in the previous 4 years (P < 0.05). In males, the reported incidence of malaria in 2020 was lower than that in the previous 4 years, and the reported incidence of dengue in 2020 was lower than that in 2017-2019. The reported incidence of malaria in the 20-60-year age group was lower than that in the previous 4 years; the reported incidence of dengue in the 40-60-year age group was lower than that in 2016-2018. The reported cases of malaria in both urban and rural areas were lower than in the previous 4 years. The DID of brucellosis and SFTS in 2020 was shorter than that in 2015-2018; the DID of tsutsugamushi in 2020 was shorter than that in the previous 4 years.

CONCLUSIONS

Interventions for COVID-19 may help control the epidemics of natural focal diseases in Jiangsu Province. The reported incidence of natural focal diseases, especially malaria and dengue, decreased during the outbreak of COVID-19 in 2020. COVID-19 prevention and control measures had the greatest impact on the reported incidence of natural focal diseases in males and people in the 20-60-year age group.

摘要

背景

在 2019 年冠状病毒病(COVID-19)疫情期间,封锁、旅行限制和停产等强有力的干预措施可能已经抑制了其他传染病的传播,包括自然疫源性疾病。在这项研究中,我们旨在研究 COVID-19 防控措施对自然疫源性疾病(布鲁氏菌病、疟疾、肾综合征出血热[HFRS]、登革热、发热伴血小板减少综合征[SFTS]、狂犬病、恙虫病和乙型脑炎[JE])报告发病率的影响。

方法

从江苏省疾病预防控制中心(江苏省疾控中心)收集了每日 COVID-19 确诊病例和自然疫源性疾病病例数据。我们从报告发病率趋势、年龄、性别以及城乡分布等四个方面描述和比较了 2020 年与 2015-2019 年的发病率差异。采用自回归综合移动平均(ARIMA)(p、d、q)×(P、D、Q)模型对自然疫源性疾病、疟疾和发热伴血小板减少综合征(SFTS)进行建模,采用 ARIMA(p、d、q)模型对登革热进行建模。采用非参数检验比较 2020 年报告发病率和预测发病率、2020 年发病率与前 4 年的发病率以及 2020 年和前 4 年发病日期到确诊日期(DID)的差异。采用决定系数(R)评估模型模拟的拟合优度。

结果

江苏省自然疫源性疾病呈长期季节性趋势。2020 年自然疫源性疾病、疟疾和登革热的报告发病率低于预测发病率,差异有统计学意义(P<0.05)。2020 年 7 月、8 月、10 月和 11 月布鲁氏菌病和 5 月至 11 月发热伴血小板减少综合征的报告发病率高于前 4 年同期(P<0.05)。2020 年 4 月至 12 月疟疾、3 月、5 月和 12 月肾综合征出血热以及 7 月至 11 月登革热的报告发病率低于前 4 年同期(P<0.05)。在男性中,2020 年疟疾的报告发病率低于前 4 年,2020 年登革热的报告发病率低于 2017-2019 年。20-60 岁年龄组的疟疾报告发病率低于前 4 年;40-60 岁年龄组的登革热报告发病率低于 2016-2018 年。城乡地区的疟疾报告病例均低于前 4 年。2020 年布鲁氏菌病和发热伴血小板减少综合征的 DID 短于 2015-2018 年;2020 年恙虫病的 DID 短于前 4 年。

结论

COVID-19 的干预措施可能有助于控制江苏省自然疫源性疾病的流行。2020 年 COVID-19 疫情期间,自然疫源性疾病,尤其是疟疾和登革热的报告发病率下降。COVID-19 防控措施对男性和 20-60 岁年龄组人群的自然疫源性疾病报告发病率影响最大。

https://cdn.ncbi.nlm.nih.gov/pmc/blobs/2bd3/8451117/cc368ac1e117/13071_2021_4986_Fig1_HTML.jpg

文献AI研究员

20分钟写一篇综述,助力文献阅读效率提升50倍。

立即体验

用中文搜PubMed

大模型驱动的PubMed中文搜索引擎

马上搜索

文档翻译

学术文献翻译模型,支持多种主流文档格式。

立即体验