Suppr超能文献

在上肢伸展运动中通过肌肉协同作用量化的受试者内和受试者间运动变异性

Intra-Subject and Inter-Subject Movement Variability Quantified with Muscle Synergies in Upper-Limb Reaching Movements.

作者信息

Zhao Kunkun, Zhang Zhisheng, Wen Haiying, Scano Alessandro

机构信息

School of Mechanical Engineering, Southeast University, Nanjing 211189, China.

UOS STIIMA Lecco-Human-Centered, Smart & Safe, Living Environment, Italian National Research Council (CNR), Via Previati 1/E, 23900 Lecco, Italy.

出版信息

Biomimetics (Basel). 2021 Oct 20;6(4):63. doi: 10.3390/biomimetics6040063.

Abstract

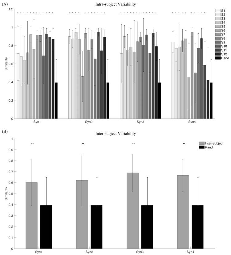
Quantifying movement variability is a crucial aspect for clinical and laboratory investigations in several contexts. However, very few studies have assessed, in detail, the intra-subject variability across movements and the inter-subject variability. Muscle synergies are a valuable method that can be used to assess such variability. In this study, we assess, in detail, intra-subject and inter-subject variability in a scenario based on a comprehensive dataset, including multiple repetitions of multi-directional reaching movements. The results show that muscle synergies are a valuable tool for quantifying variability at the muscle level and reveal that intra-subject variability is lower than inter-subject variability in synergy modules and related temporal coefficients, and both intra-subject and inter-subject similarity are higher than random synergy matching, confirming shared underlying control structures. The study deepens the available knowledge on muscle synergy-based motor function assessment and rehabilitation applications, discussing their applicability to real scenarios.

摘要

在多种情况下,量化运动变异性是临床和实验室研究的一个关键方面。然而,很少有研究详细评估个体内运动间的变异性和个体间的变异性。肌肉协同作用是一种可用于评估此类变异性的有价值方法。在本研究中,我们基于一个综合数据集,详细评估了个体内和个体间的变异性,该数据集包括多方向伸手运动的多次重复。结果表明,肌肉协同作用是在肌肉水平量化变异性的一种有价值工具,并揭示在协同模块和相关时间系数方面个体内变异性低于个体间变异性,且个体内和个体间的相似性均高于随机协同匹配,证实了共享的潜在控制结构。该研究深化了关于基于肌肉协同作用的运动功能评估和康复应用的现有知识,并讨论了它们在实际场景中的适用性。

https://cdn.ncbi.nlm.nih.gov/pmc/blobs/0305/8544238/0cca6f53d739/biomimetics-06-00063-g001.jpg

文献AI研究员

20分钟写一篇综述,助力文献阅读效率提升50倍。

立即体验

用中文搜PubMed

大模型驱动的PubMed中文搜索引擎

马上搜索

文档翻译

学术文献翻译模型,支持多种主流文档格式。

立即体验