Suppr超能文献

用于生物分子Zr标记的五种螯合剂的并排比较:化学/放射化学性质及配合物稳定性研究

Side-by-Side Comparison of Five Chelators for Zr-Labeling of Biomolecules: Investigation of Chemical/Radiochemical Properties and Complex Stability.

作者信息

Damerow Helen, Hübner Ralph, Judmann Benedikt, Schirrmacher Ralf, Wängler Björn, Fricker Gert, Wängler Carmen

机构信息

Biomedical Chemistry, Clinic of Radiology and Nuclear Medicine, Medical Faculty Mannheim, Heidelberg University, Theodor-Kutzer-Ufer 1-3, 68167 Mannheim, Germany.

Molecular Imaging and Radiochemistry, Clinic of Radiology and Nuclear Medicine, Medical Faculty Mannheim, Heidelberg University, Theodor-Kutzer-Ufer 1-3, 68167 Mannheim, Germany.

出版信息

Cancers (Basel). 2021 Dec 17;13(24):6349. doi: 10.3390/cancers13246349.

Abstract

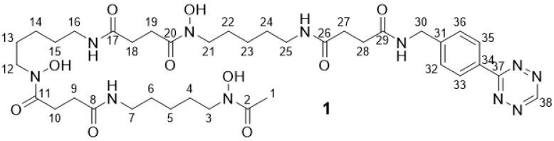
In this work, five different chelating agents, namely DFO, CTH-36, DFO*, 3,4,3-(LI-1,2-HOPO) and DOTA-GA, were compared with regard to the relative kinetic inertness of their corresponding Zr complexes to evaluate their potential for in vivo application and stable Zr complexation. The chelators were identically functionalized with tetrazines, enabling a fully comparable, efficient, chemoselective and biorthogonal conjugation chemistry for the modification of any complementarily derivatized biomolecules of interest. A small model peptide of clinical relevance (TCO-c(RGDfK)) was derivatized via iEDDA click reaction with the developed chelating agents (TCO = trans-cyclooctene and iEDDA = inverse electron demand Diels-Alder). The bioconjugates were labeled with Zr, and their radiochemical properties (labeling conditions and efficiency), log, as well as the relative kinetic inertness of the formed complexes, were compared. Furthermore, density functional theory (DFT) calculations were conducted to identify potential influences of chelator modification on complex formation and geometry. The results of the DFT studies showed-apart from the DOTA-GA derivative-no significant influence of chelator backbone functionalization or the conjugation of the chelator tetrazines by iEDDA. All tetrazines could be efficiently introduced into c(RGDfK), demonstrating the high suitability of the agents for efficient and chemoselective bioconjugation. The DFO-, CTH-36- and DFO*-modified c(RGDfK) peptides showed a high radiolabeling efficiency under mild reaction conditions and complete Zr incorporation within 1 h, yielding the Zr-labeled analogs as homogenous products. In contrast, 3,4,3-(LI-1,2-HOPO)-c(RGDfK) required considerably prolonged reaction times of 5 h for complete radiometal incorporation and yielded several different Zr-labeled species. The labeling of the DOTA-GA-modified peptide was not successful at all. Compared to [Zr]Zr-DFO-, [Zr]Zr-CTH-36- and [Zr]Zr-DFO*-c(RGDfK), the corresponding [Zr]Zr-3,4,3-(LI-1,2-HOPO) peptide showed a strongly increased lipophilicity. Finally, the relative stability of the Zr complexes against the EDTA challenge was investigated. The [Zr]Zr-DFO complex showed-as expected-a low kinetic inertness. Unexpectedly, also, the [Zr]Zr-CTH-36 complex demonstrated a high susceptibility against the challenge, limiting the usefulness of CTH-36 for stable Zr complexation. Only the [Zr]Zr-DFO* and the [Zr]Zr-3,4,3-(LI-1,2-HOPO) complexes demonstrated a high inertness, qualifying them for further comparative in vivo investigation to determine the most appropriate alternative to DFO for clinical application.

摘要

在本研究中,比较了五种不同的螯合剂,即去铁胺(DFO)、CTH - 36、DFO*、3,4,3-(LI - 1,2 - HOPO)和DOTA - GA,考察了它们相应的锆配合物的相对动力学惰性,以评估其体内应用潜力和稳定锆络合能力。这些螯合剂均用四嗪进行了相同的功能化修饰,从而能够实现完全可比、高效、化学选择性和生物正交的共轭化学,用于修饰任何感兴趣的互补衍生生物分子。通过与所开发的螯合剂进行逆电子需求狄尔斯 - 阿尔德(iEDDA)点击反应,将具有临床相关性的小模型肽(TCO - c(RGDfK))进行衍生化(TCO = 反式环辛烯,iEDDA = 逆电子需求狄尔斯 - 阿尔德)。将生物共轭物用锆标记,并比较它们的放射化学性质(标记条件和效率)、log,以及所形成配合物的相对动力学惰性。此外,进行了密度泛函理论(DFT)计算,以确定螯合剂修饰对配合物形成和几何结构的潜在影响。DFT研究结果表明,除了DOTA - GA衍生物外,螯合剂主链功能化或通过iEDDA进行螯合剂四嗪的共轭没有显著影响。所有四嗪均可有效引入到c(RGDfK)中,表明这些试剂非常适合高效和化学选择性生物共轭。DFO -、CTH - 36 - 和DFO* - 修饰的c(RGDfK)肽在温和反应条件下显示出高放射性标记效率,且在1小时内锆完全掺入,得到锆标记类似物作为均一产物。相比之下,3,4,3-(LI - 1,2 - HOPO) - c(RGDfK)需要长达5小时的显著延长反应时间才能实现完全放射性金属掺入,并产生几种不同的锆标记物种。DOTA - GA修饰肽的标记根本未成功。与[Zr]Zr - DFO -、[Zr]Zr - CTH - 36 - 和[Zr]Zr - DFO* - c(RGDfK)相比,相应的[Zr]Zr - 3,4,3-(LI - 1,2 - HOPO)肽显示出亲脂性大幅增加。最后,研究了锆配合物对EDTA挑战的相对稳定性。[Zr]Zr - DFO配合物正如预期的那样显示出低动力学惰性。出乎意料的是,[Zr]Zr - CTH - 36配合物对该挑战也表现出高敏感性,限制了CTH - 36用于稳定锆络合的实用性。只有[Zr]Zr - DFO*和[Zr]Zr - 3,4,3-(LI - 1,2 - HOPO)配合物显示出高惰性,使其有资格进行进一步的体内比较研究,以确定临床应用中DFO最合适的替代物。

https://cdn.ncbi.nlm.nih.gov/pmc/blobs/cfa1/8699488/bb95d8a60bf2/cancers-13-06349-g001.jpg

文献AI研究员

20分钟写一篇综述,助力文献阅读效率提升50倍。

立即体验

用中文搜PubMed

大模型驱动的PubMed中文搜索引擎

马上搜索

文档翻译

学术文献翻译模型,支持多种主流文档格式。

立即体验