Suppr超能文献

锆-89标记的可点击DOTA配合物及其抗体缀合物的制备。

Preparation of a Zirconium-89 Labeled Clickable DOTA Complex and Its Antibody Conjugate.

作者信息

Basuli Falguni, Vasalatiy Olga, Shi Jianfeng, Lane Kelly C, Escorcia Freddy E, Swenson Rolf E

机构信息

Chemistry and Synthesis Center, National Heart, Lung and Blood Institute, Bethesda, MD 20892, USA.

Molecular Imaging Branch, Center for Cancer Research, National Cancer Institute, Bethesda, MD 20892, USA.

出版信息

Pharmaceuticals (Basel). 2024 Apr 9;17(4):480. doi: 10.3390/ph17040480.

Abstract

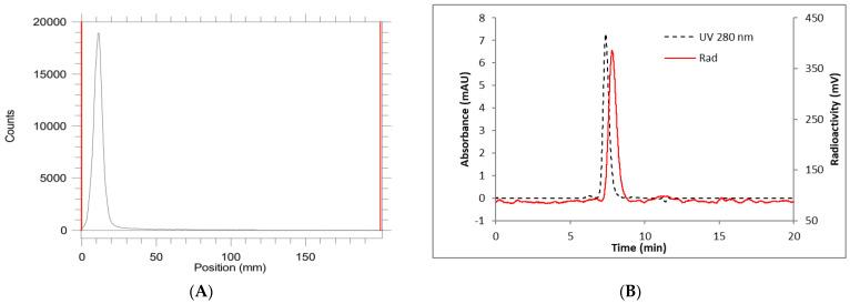
Desferrioxamine B (DFO) is the clinical standard chelator for preparing zirconium-89 labeled antibodies. In the current study, the stabilities of a zirconium-89 labeled panitumumab (PAN; Vectibix) with three different chelators (DFO, DFO*, and DOTA) were compared. PAN is an anti-HER1/EGFR monoclonal antibody approved by the FDA for the treatment of HER1-expressing colorectal cancers and was used as the model antibody for this study. DFO/DFO* conjugates of PAN were directly radiolabeled with zirconium-89 at room temperature to produce [Zr]Zr-DFO/DFO*-PAN conjugates following a well-established procedure. A zirconium-89 labeled DOTA-PAN conjugate was prepared by an indirect radiolabeling method. A cyclooctyne-linked DOTA chelator (BCN-DOTA-GA) was first radiolabeled with zirconium-89 at 90 °C under a two-step basic pH adjustment method followed by conjugation with PAN-tetrazene at 37 °C to produce a labeled conjugate, BCN-[Zr]Zr-DOTA-GA-PAN. High reproducibility of the radiolabeling was observed via this two-step basic pH adjustment. The overall radiochemical yield was 40-50% (n = 12, decay uncorrected) with a radiochemical purity of >95% in 2 h synthesis time. All three conjugates were stable in whole human serum for up to 7 days at 37 °C. The kinetic inertness of the conjugates was assessed against the EDTA challenge. BCN-[Zr]Zr-DOTA-GA-PAN exhibited excellent inertness followed by [Zr]Zr-DFO*-PAN. [Zr]Zr-DFO-PAN displayed the lowest level of inertness.

摘要

去铁胺B(DFO)是制备锆-89标记抗体的临床标准螯合剂。在本研究中,比较了锆-89标记的帕尼单抗(PAN;维克替比)与三种不同螯合剂(DFO、DFO和DOTA)的稳定性。PAN是一种经美国食品药品监督管理局批准用于治疗表达HER1的结直肠癌的抗HER1/EGFR单克隆抗体,被用作本研究的模型抗体。PAN的DFO/DFO缀合物在室温下直接用锆-89进行放射性标记,按照既定程序制备[Zr]Zr-DFO/DFO*-PAN缀合物。锆-89标记的DOTA-PAN缀合物通过间接放射性标记法制备。首先,在两步碱性pH调节方法下,在90℃用锆-89对环辛炔连接的DOTA螯合剂(BCN-DOTA-GA)进行放射性标记,然后在37℃与PAN-四氮烯缀合,制备标记的缀合物BCN-[Zr]Zr-DOTA-GA-PAN。通过这种两步碱性pH调节观察到放射性标记具有高重现性。在2小时的合成时间内,总放射化学产率为40-50%(n = 12,未校正衰变),放射化学纯度>95%。所有三种缀合物在37℃的全人血清中长达7天都是稳定的。通过EDTA挑战评估缀合物的动力学惰性。BCN-[Zr]Zr-DOTA-GA-PAN表现出优异的惰性,其次是[Zr]Zr-DFO*-PAN。[Zr]Zr-DFO-PAN表现出最低水平的惰性。

https://cdn.ncbi.nlm.nih.gov/pmc/blobs/be7a/11053460/bffa4e998b0b/pharmaceuticals-17-00480-g001.jpg

文献AI研究员

20分钟写一篇综述,助力文献阅读效率提升50倍。

立即体验

用中文搜PubMed

大模型驱动的PubMed中文搜索引擎

马上搜索

文档翻译

学术文献翻译模型,支持多种主流文档格式。

立即体验