Suppr超能文献

以单宁酸为添加剂制备具有增强孔隙率和过滤性能的聚偏二氟乙烯膜

Fabrication of Polyvinylidene Difluoride Membrane with Enhanced Pore and Filtration Properties by Using Tannic Acid as an Additive.

作者信息

Mulyati Sri, Aprilia Sri, Muchtar Syawaliah, Syamsuddin Yanna, Rosnelly Cut Meurah, Bilad Muhammad Roil, Samsuri Shafirah, Ismail Noor Maizura

机构信息

Department of Chemical Engineering, Universitas Syiah Kuala, Banda Aceh 23111, Indonesia.

Faculty of Integrated Technologies, Universiti Brunei Darussalam, Gadong BE1410, Brunei.

出版信息

Polymers (Basel). 2022 Jan 3;14(1):186. doi: 10.3390/polym14010186.

Abstract

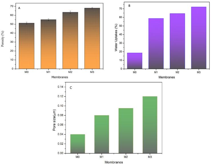
Potential use of tannic acid (TA) as an additive for fabrication of polyvinylidene difluoride (PVDF) membrane was investigated. The TA was introduced by blending into the dope solution with varying concentrations of 0, 1, 1.5, and 2 wt%. The prepared membranes were characterized and evaluated for filtration of humic acid (HA) solution. The stability of the membrane under harsh treatment was also evaluated by one-week exposure to acid and alkaline conditions. The results show that TA loadings enhanced the resulting membrane properties. It increased the bulk porosity, water uptake, and hydrophilicity, which translated into improved clean water flux from 15.4 L/m.h for the pristine PVDF membrane up to 3.3× for the TA-modified membranes with the 2 wt% TA loading. The flux recovery ratio (FRR) of the TA-modified membranes (FRRs = 78-83%) was higher than the pristine one (FRR = 58.54%), with suitable chemical stability too. The improved antifouling property for the TA-modified membranes was attributed to their enhanced hydrophilicity thanks to improved morphology and residual TA in the membrane matric.

摘要

研究了单宁酸(TA)作为添加剂用于制备聚偏氟乙烯(PVDF)膜的潜在用途。通过将TA以0、1、1.5和2 wt%的不同浓度混入铸膜液中来引入TA。对制备的膜进行了表征,并评估了其对腐殖酸(HA)溶液的过滤性能。还通过在酸性和碱性条件下暴露一周来评估膜在苛刻处理下的稳定性。结果表明,TA的负载量提高了所得膜的性能。它增加了膜的整体孔隙率、吸水率和亲水性,这使得纯水通量从原始PVDF膜的15.4 L/m·h提高到TA负载量为2 wt%的TA改性膜的3.3倍。TA改性膜的通量恢复率(FRR)(FRRs = 78 - 83%)高于原始膜(FRR = 58.54%),并且具有合适的化学稳定性。TA改性膜抗污染性能的提高归因于其由于形态改善和膜基质中残留的TA而增强的亲水性。

https://cdn.ncbi.nlm.nih.gov/pmc/blobs/4ac5/8747121/721b4d6ba904/polymers-14-00186-g001.jpg

文献AI研究员

20分钟写一篇综述,助力文献阅读效率提升50倍。

立即体验

用中文搜PubMed

大模型驱动的PubMed中文搜索引擎

马上搜索

文档翻译

学术文献翻译模型,支持多种主流文档格式。

立即体验