Suppr超能文献

基于互联网的听力学医师指导的耳鸣认知行为疗法:随机对照试验。

Internet-Based Audiologist-Guided Cognitive Behavioral Therapy for Tinnitus: Randomized Controlled Trial.

机构信息

Vision and Hearing Research Centre, Anglia Ruskin University, Cambridge, United Kingdom.

Virtual Hearing Lab, Collaborative Initiative Between University of Colorado School of Medicine and University of Pretoria, Aurora, CO, United States.

出版信息

J Med Internet Res. 2022 Feb 14;24(2):e27584. doi: 10.2196/27584.

Abstract

BACKGROUND

Tinnitus is a symptom that can be very distressing owing to hearing sounds not related to any external sound source. Managing tinnitus is notoriously difficult, and access to evidence-based care is limited. Cognitive behavioral therapy (CBT) is a tinnitus management strategy with the most evidence of effectiveness but is rarely offered to those distressed by tinnitus. The provision of internet-based CBT for tinnitus overcomes accessibility barriers; however, it is not currently readily available in the United States.

OBJECTIVE

The aim of this study is to investigate the efficacy of internet-based CBT compared with that of weekly monitoring for the management of tinnitus in reducing tinnitus distress; reducing tinnitus-related comorbidities, including tinnitus cognitions, insomnia, anxiety, and depression; and assessing the stability of the intervention effects 2 months after the intervention.

METHODS

A 2-arm randomized clinical trial comparing audiologist-guided internet-based CBT (n=79) to a weekly monitoring group (n=79) with a 2-month follow-up assessed the efficacy of internet-based CBT. Eligible participants included adults seeking help for tinnitus. Recruitment was conducted on the web using an open-access website. Participants were randomized via 1:1 allocation, but blinding was not possible. The study was undertaken by English or Spanish speakers on the web. The primary outcome was a change in tinnitus distress as measured using the Tinnitus Functional Index. Secondary outcome measures included anxiety, depression, insomnia, tinnitus cognition, hearing-related difficulties, and quality of life.

RESULTS

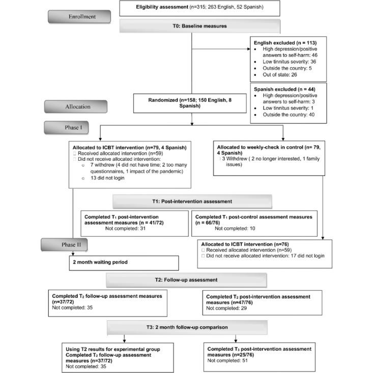
Internet-based CBT led to a greater reduction in tinnitus distress (mean 36.57, SD 22) compared with that in weekly monitoring (mean 46.31, SD 20.63; effect size: Cohen d=0.46, 95% CI 0.14-0.77) using an intention-to-treat analysis. For the secondary outcomes, there was a greater reduction in negative tinnitus cognition and insomnia. The results remained stable over the 2-month follow-up period. No important adverse events were observed. Further, 16% (10/158) of participants withdrew, with low overall compliance rates for questionnaire completion of 72.3% (107/148) at T1, 61% (91/148) at T2, and 42% (62/148) at T3.

CONCLUSIONS

This study is the first to evaluate and indicate the efficacy of audiologist-delivered internet-based CBT in reducing tinnitus distress in a US population. It was also the first study to offer internet-based CBT in Spanish to accommodate the large Hispanic population in the United States. The results have been encouraging, and further work is indicated in view of making such an intervention applicable to a wider population. Further work is required to improve compliance and attract more Spanish speakers.

TRIAL REGISTRATION

ClinicalTrials.gov NCT04004260; https://clinicaltrials.gov/ct2/show/NCT04004260.

摘要

背景

耳鸣是一种症状,由于听到与任何外部声源无关的声音而非常令人痛苦。耳鸣的管理非常困难,获得循证护理的机会有限。认知行为疗法(CBT)是一种具有最有效证据的耳鸣管理策略,但很少提供给那些因耳鸣而痛苦的人。提供基于互联网的 CBT 可以克服获取障碍;然而,它目前在美国尚未广泛提供。

目的

本研究旨在调查基于互联网的 CBT 与每周监测在减少耳鸣困扰方面的疗效比较;减少耳鸣相关的合并症,包括耳鸣认知、失眠、焦虑和抑郁;并评估干预 2 个月后的干预效果的稳定性。

方法

一项 2 臂随机临床试验比较了听力学家指导的基于互联网的 CBT(n=79)与每周监测组(n=79),随访 2 个月,评估了基于互联网的 CBT 的疗效。合格的参与者包括寻求耳鸣帮助的成年人。通过开放访问网站在网上进行招募。参与者通过 1:1 分配进行随机分组,但无法进行盲法。该研究由英语或西班牙语使用者在网上进行。主要结局是使用耳鸣功能指数测量的耳鸣困扰的变化。次要结局指标包括焦虑、抑郁、失眠、耳鸣认知、听力相关困难和生活质量。

结果

基于互联网的 CBT 导致耳鸣困扰的降低幅度大于每周监测(均值 36.57,SD 22 与均值 46.31,SD 20.63;效应量:Cohen d=0.46,95%CI 0.14-0.77),这是基于意向治疗分析。对于次要结局,负面耳鸣认知和失眠的降低幅度更大。结果在 2 个月的随访期间保持稳定。没有观察到重要的不良事件。此外,16%(10/158)的参与者退出,问卷完成的整体依从率较低,T1 时为 72.3%(107/148),T2 时为 61%(91/148),T3 时为 42%(62/148)。

结论

这项研究是第一项评估和表明听力学家提供的基于互联网的 CBT 在美国人群中减少耳鸣困扰的疗效的研究。它也是第一项提供西班牙语的基于互联网的 CBT 的研究,以适应美国庞大的西班牙裔人口。结果令人鼓舞,鉴于要使这种干预措施适用于更广泛的人群,还需要进一步的工作。需要进一步努力提高依从性并吸引更多讲西班牙语的人。

试验注册

ClinicalTrials.gov NCT04004260;https://clinicaltrials.gov/ct2/show/NCT04004260。

https://cdn.ncbi.nlm.nih.gov/pmc/blobs/f375/8887633/81aa9f549550/jmir_v24i2e27584_fig1.jpg

文献AI研究员

20分钟写一篇综述,助力文献阅读效率提升50倍。

立即体验

用中文搜PubMed

大模型驱动的PubMed中文搜索引擎

马上搜索

文档翻译

学术文献翻译模型,支持多种主流文档格式。

立即体验