Suppr超能文献

一项调查:了解未受益于 CFTR 调节剂的 CF 患者的健康状况和观点。

A survey: Understanding the health and perspectives of people with CF not benefiting from CFTR modulators.

机构信息

Emily's Entourage, Merion Station, Pennsylvania, USA.

Departments of Medicine and Pediatrics, National Jewish Health, Denver, Colorado, USA.

出版信息

Pediatr Pulmonol. 2022 May;57(5):1253-1261. doi: 10.1002/ppul.25859. Epub 2022 Mar 28.

Abstract

BACKGROUND

While the advent of cystic fibrosis transmembrane conductance regulator (CFTR) modulator use has improved daily life and long-term prognosis of CF for many with approved CFTR mutations, approximately 10% of people with CF (pwCF) have only symptomatic treatments available.

METHODS

Between June 10 and July 1, 2021, Emily's Entourage distributed a 38-question anonymous survey targeted at pwCF not benefitting from approved modulators via social media and email to pwCF and CF advocacy groups in and outside the United States regarding health status, impact of CF, unmet needs, and clinical research interest.

RESULTS

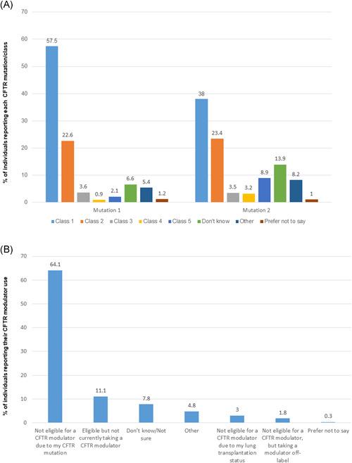
There were 431 survey respondents representing pwCF on five continents. The majority of pwCF had moderate lung disease (50.3%). Ineligibility based on CFTR mutation (64.1%) was the most frequently reported reason pwCF were not on modulators. PwCF reported the most impacted aspects of life were mental (66.7%) and physical (40.7%) health. Financial concerns and feelings of isolation were commonly reported. Witnessing improvements for peers with access to modulators was both uplifting and disheartening. The majority of pwCF would be interested in participating in future clinical research (77.6%), although some living outside of the United States cited lack of opportunity to participate in clinical trials as a barrier.

CONCLUSIONS

PwCF who are ineligible, intolerant, or lack access to modulators have a high burden of disease impacting their physical and mental health. Although most are happy for those who are benefiting from modulators, they are eager for the opportunity to experience similar improvements for themselves, and willing to participate in clinical trials of new therapies.

摘要

背景

尽管囊性纤维化跨膜电导调节因子 (CFTR) 调节剂的出现改善了许多 CFTR 突变获批患者的日常生活和长期预后,但大约 10%的 CF 患者(pwCF)仅有对症治疗可用。

方法

2021 年 6 月 10 日至 7 月 1 日,Emily's Entourage 通过社交媒体和电子邮件向美国内外的 pwCF 和 CF 倡导团体分发了一份针对未受益于获批调节剂的 pwCF 的 38 个问题匿名调查,了解他们的健康状况、CF 对他们的影响、未满足的需求以及对临床研究的兴趣。

结果

共有 431 名来自五大洲的 pwCF 对调查做出了回应。大多数 pwCF 患有中度肺部疾病(50.3%)。因 CFTR 突变而无资格使用调节剂(64.1%)是 pwCF 未使用调节剂的最常见原因。pwCF 报告受 CF 影响最大的方面是心理健康(66.7%)和身体健康(40.7%)。财务问题和孤独感普遍存在。看到同龄人因使用调节剂而得到改善,既令人振奋又令人沮丧。大多数 pwCF 有兴趣参与未来的临床研究(77.6%),尽管一些居住在美国以外的 pwCF 表示缺乏参与临床试验的机会是一个障碍。

结论

因无资格、不耐受或无法获得调节剂而处于困境中的 pwCF 疾病负担沉重,影响他们的身心健康。尽管大多数人对那些受益于调节剂的人感到高兴,但他们渴望有机会为自己获得类似的改善,并愿意参与新疗法的临床试验。

https://cdn.ncbi.nlm.nih.gov/pmc/blobs/8689/9314897/4034187931ee/PPUL-57-1253-g001.jpg

文献AI研究员

20分钟写一篇综述,助力文献阅读效率提升50倍。

立即体验

用中文搜PubMed

大模型驱动的PubMed中文搜索引擎

马上搜索

文档翻译

学术文献翻译模型,支持多种主流文档格式。

立即体验