Suppr超能文献

从非小细胞肺癌(NSCLC)患者中分离出的循环肿瘤细胞(CTC)中的去酪氨酸化α-微管蛋白、波形蛋白和程序性死亡受体配体1(PD-L1)

Detyrosinated α-Tubulin, Vimentin and PD-L1 in Circulating Tumor Cells (CTCs) Isolated from Non-Small Cell Lung Cancer (NSCLC) Patients.

作者信息

Katsarou Spyridoula D, Messaritakis Ippokratis, Voumvouraki Anastasia, Kakavogiannis Stavros, Κotsakis Athanasios, Alkahtani Saad, Stournaras Christos, Martin Stuart S, Georgoulias Vassilis, Kallergi Galatea

机构信息

Division of Genetics, Cell and Developmental Biology, Department of Biology, University of Patras, 26504 Patras, Greece.

Department of Zoology, Science College, King Saud University, Riyadh 11451, Saudi Arabia.

出版信息

J Pers Med. 2022 Jan 25;12(2):154. doi: 10.3390/jpm12020154.

Abstract

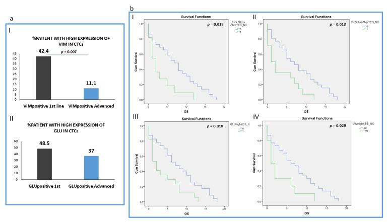
Upregulation of Vimentin (VIM), alpha-Tubulin (TUB) and Detyrosinated tubulin (GLU) in circulating tumor cells (CTCs) derived from breast cancer patients is related to poor prognosis. In the current study we evaluated for the first time, these cytoskeletal proteins in sixty Non-Small Cell Lung Cancer (NSCLC) patients' CTCs (33 treatment-naïve and 27 pre-treated). Samples were isolated using the ISET platform and stained with a pancytokeratin (CK)/CD45/TUB, CK/GLU/VIM and CK/programmed death ligand 1 (PD-L1) combination of antibodies. Subsequently, slides were analyzed using confocal laser scanning microscopy. CTCs were detected in 86.7% of the patients. CTCs with TUB expression were identified in 65.4% (34/52) of the CK (+)-patients. GLU, VIM and PD-L1 were also evaluated. The frequency of the observed phenotypes was as follow: (CK+/GLU-/VIM-): 35.2%, (CK+/GLU+/VIM+): 63.0%, (CK+/GLU+/VIM-): 16.7%, (CK+/GLU-/VIM+): 72.2%, (CK+/PD-L1-): 75% and (CK+/PD-L1+): 55%. The OS was significantly decreased in patients with high GLU (3.8 vs. 7.9 months; = 0.018) and/or high VIM (3.2 vs. 7.1 months; = 0.029) expression in their CTCs. PD-L1 was also related to OS (3.4 vs. 7.21 months; = 0.035). Moreover, TUB-high and TUB-low expression in CTCs inversely influenced patients' OS as independent prognostic factors ( = 0.041 and = 0.009). The current study revealed that TUB, GLU, VIM and PD-L1 were overexpressed in CTCs from NSCLC patients. Furthermore, the presence of GLU, VIM-positive and PD-L1 in CTCs is potentially related to patients' outcomes.

摘要

乳腺癌患者循环肿瘤细胞(CTC)中波形蛋白(VIM)、α-微管蛋白(TUB)和去酪氨酸化微管蛋白(GLU)的上调与预后不良有关。在本研究中,我们首次评估了60例非小细胞肺癌(NSCLC)患者CTC中的这些细胞骨架蛋白(33例未经治疗和27例经预处理)。使用ISET平台分离样本,并用全细胞角蛋白(CK)/CD45/TUB、CK/GLU/VIM和CK/程序性死亡配体1(PD-L1)抗体组合进行染色。随后,使用共聚焦激光扫描显微镜分析载玻片。86.7%的患者检测到CTC。在65.4%(34/52)的CK(+)患者中鉴定出有TUB表达的CTC。还评估了GLU、VIM和PD-L1。观察到的表型频率如下:(CK+/GLU-/VIM-):35.2%,(CK+/GLU+/VIM+):63.0%,(CK+/GLU+/VIM-):16.7%,(CK+/GLU-/VIM+):72.2%,(CK+/PD-L1-):75%,(CK+/PD-L1+):55%。CTC中GLU高表达(3.8个月对7.9个月;P = 0.018)和/或VIM高表达(3.2个月对7.1个月;P = 0.029)的患者总生存期显著缩短。PD-L1也与总生存期有关(3.4个月对7.21个月;P = 0.035)。此外,作为独立预后因素,CTC中TUB高表达和低表达对患者总生存期有相反影响(P = 0.041和P = 0.009)。本研究表明,TUB、GLU、VIM和PD-L1在NSCLC患者的CTC中过度表达。此外,CTC中GLU、VIM阳性和PD-L1的存在可能与患者的预后有关。

https://cdn.ncbi.nlm.nih.gov/pmc/blobs/acff/8875112/203032525936/jpm-12-00154-g001.jpg

文献AI研究员

20分钟写一篇综述,助力文献阅读效率提升50倍。

立即体验

用中文搜PubMed

大模型驱动的PubMed中文搜索引擎

马上搜索

文档翻译

学术文献翻译模型,支持多种主流文档格式。

立即体验