Suppr超能文献

揭示长寿特征的血清神经酰胺指纹的新见解。

Novel Insight into the Serum Sphingolipid Fingerprint Characterizing Longevity.

机构信息

Department of Biomedical Sciences for Health, University of Milan, 20133 Milan, Italy.

IRCCS Istituto Ortopedico Galeazzi, 20161 Milan, Italy.

出版信息

Int J Mol Sci. 2022 Feb 22;23(5):2428. doi: 10.3390/ijms23052428.

Abstract

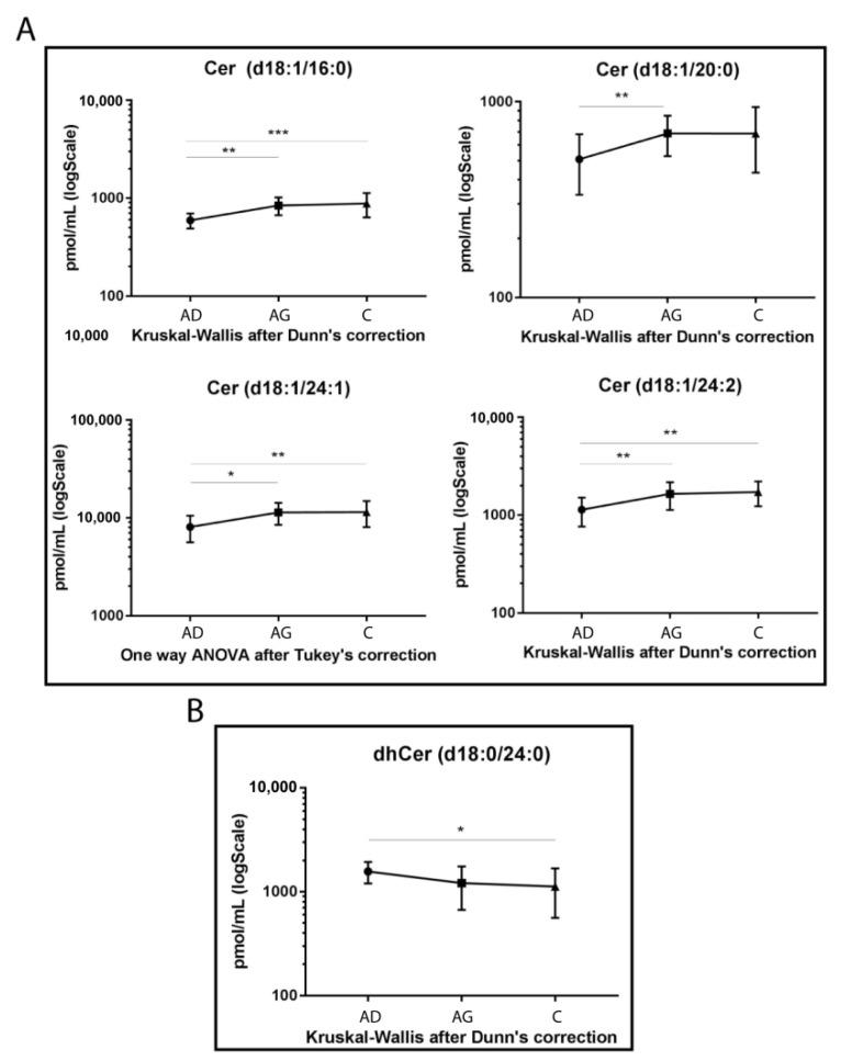
Sphingolipids (SLs) are structural components of the lipid bilayer regulating cell functions. In biological fluids, their distribution is sex-specific and is at variance in aging and many disorders. The aim of this study is to identify SL species associated with the decelerated aging of centenarians. SLs, extracted from serum of adults (Ad, 35-37 years old), aged (Ag, 75-77 years old) and centenarian (C, 105-107 years old) women were analyzed by LC-MS/MS in combination with mRNA levels in peripheral blood mononuclear cells (PBMCs) of SL biosynthetic enzymes. Results indicated in Ag and C vs. Ad a comparable ceramides (Cers) increase, whereas dihydroceramide (dhCer) decreased in C vs. Ad. Hexosylceramides (HexCer) species, specifically HexCer 16:0, 22:0 and 24:1 acyl chains, increased in C vs. Ag representing a specific trait of C. Sphingosine (Sph), dihydrosphingosine (dhSph), sphingosine-1-phosphate (S1P) and dihydrosphingosine-1-phosphate (dhS1P), increased both in Ag and C vs. Ad, with higher levels in Ag, indicating a SL fine-tuning associated with a reduced physiological decline in C. mRNA levels of enzymes involved in ceramide de novo biosynthesis increased in Ag whereas enzymes involved in sphingomyelin (SM) degradation increased in C. Collectively, results suggest that Ag produce Cers by de novo synthesis whereas C activate a protective mechanism degrading SMs to Cers converting it into glycosphingolipids.

摘要

鞘脂(SLs)是调节细胞功能的脂质双层的结构成分。在生物体液中,其分布具有性别特异性,并且在衰老和许多疾病中存在差异。本研究旨在确定与百岁老人衰老速度减慢相关的 SL 种类。通过 LC-MS/MS 分析从成年女性(Ad,35-37 岁)、老年女性(Ag,75-77 岁)和百岁老人(C,105-107 岁)血清中提取的 SL,并结合外周血单个核细胞(PBMCs)中 SL 生物合成酶的 mRNA 水平进行分析。结果表明,在 Ag 和 C 与 Ad 相比,Cer 增加,而 dhCer 在 C 与 Ad 相比减少。HexCer 种类,特别是 HexCer 16:0、22:0 和 24:1 酰基链,在 C 与 Ag 相比增加,代表 C 的特定特征。Sph、dhSph、S1P 和 dhS1P 在 C 和 Ag 与 Ad 相比增加,Ag 中水平更高,表明 SL 微调与 C 中生理衰退减少有关。参与从头合成 Cer 的酶的 mRNA 水平在 Ag 中增加,而参与鞘磷脂(SM)降解的酶在 C 中增加。总的来说,结果表明 Ag 通过从头合成产生 Cer,而 C 激活一种保护机制,将 SM 降解为 Cer,将其转化为糖脂。

https://cdn.ncbi.nlm.nih.gov/pmc/blobs/a6a5/8910653/1a041b7bfc25/ijms-23-02428-g001.jpg

文献AI研究员

20分钟写一篇综述,助力文献阅读效率提升50倍。

立即体验

用中文搜PubMed

大模型驱动的PubMed中文搜索引擎

马上搜索

文档翻译

学术文献翻译模型,支持多种主流文档格式。

立即体验