Suppr超能文献

L467F-F508del 复合杂合子阻碍了 Elexacaftor/Tezacaftor/Ivacaftor 对囊性纤维化患者突变型 CFTR 的药理学修复:体外鼻上皮模型在解决 CFTR 调节药物无应答者方面的价值。

The L467F-F508del Complex Allele Hampers Pharmacological Rescue of Mutant CFTR by Elexacaftor/Tezacaftor/Ivacaftor in Cystic Fibrosis Patients: The Value of the Ex Vivo Nasal Epithelial Model to Address Non-Responders to CFTR-Modulating Drugs.

机构信息

UOC Genetica Medica, IRCCS Istituto Giannina Gaslini, 16147 Genova, Italy.

UOSD Centro Fibrosi Cistica, IRCCS Istituto Giannina Gaslini, 16147 Genova, Italy.

出版信息

Int J Mol Sci. 2022 Mar 15;23(6):3175. doi: 10.3390/ijms23063175.

Abstract

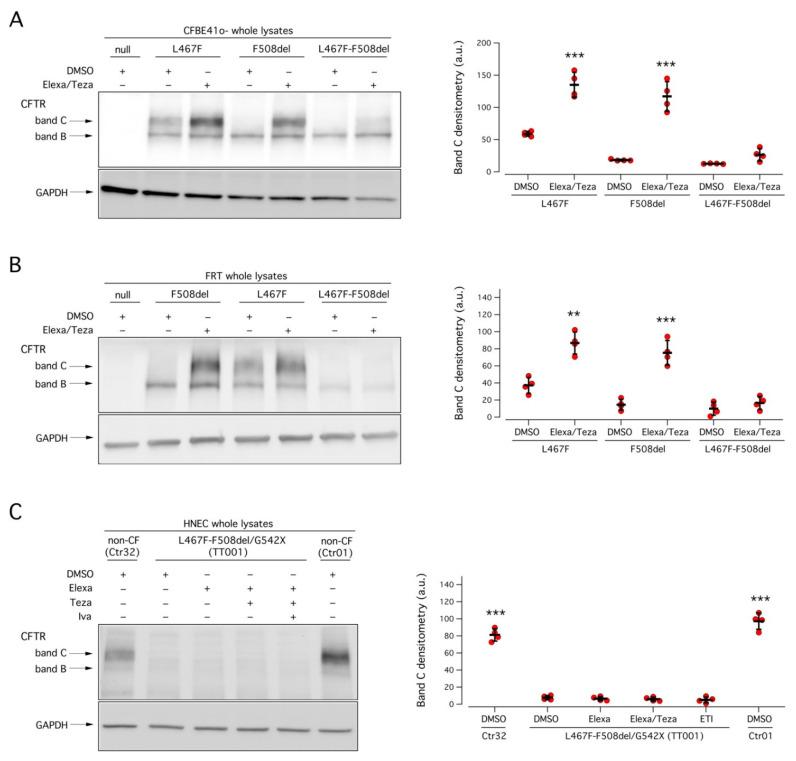
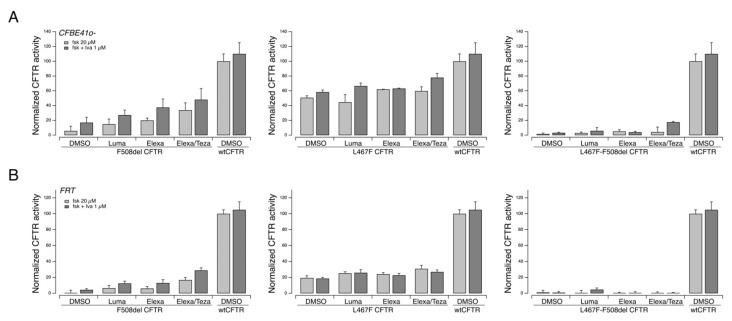
Loss-of-function mutations of the gene cause cystic fibrosis (CF) through a variety of molecular mechanisms involving altered expression, trafficking, and/or activity of the CFTR chloride channel. The most frequent mutation among CF patients, F508del, causes multiple defects that can be, however, overcome by a combination of three pharmacological agents that improve CFTR channel trafficking and gating, namely, elexacaftor, tezacaftor, and ivacaftor. This study was prompted by the evidence of two CF patients, compound heterozygous for F508del and a minimal function variant, who failed to obtain any beneficial effects following treatment with the triple drug combination. Functional studies on nasal epithelia generated in vitro from these patients confirmed the lack of response to pharmacological treatment. Molecular characterization highlighted the presence of an additional amino acid substitution, L467F, in cis with the F508del variant, demonstrating that both patients were carriers of a complex allele. Functional and biochemical assays in heterologous expression systems demonstrated that the double mutant L467F-F508del has a severely reduced activity, with negligible rescue by CFTR modulators. While further studies are needed to investigate the actual prevalence of the L467F-F508del allele, our results suggest that this complex allele should be taken into consideration as plausible cause in CF patients not responding to CFTR modulators.

摘要

基因的功能丧失突变通过多种分子机制导致囊性纤维化 (CF),这些机制涉及 CFTR 氯离子通道表达、运输和/或活性的改变。在 CF 患者中最常见的突变是 F508del,它导致多种缺陷,但可以通过三种改善 CFTR 通道运输和门控的药理学药物的组合来克服,即依利卡巴特、泰他卡巴特和伊伐卡巴特。这项研究的起因是两名 CF 患者的证据,他们是 F508del 和最小功能变体的复合杂合子,在接受三联药物组合治疗后没有获得任何有益效果。对这些患者体外生成的鼻上皮进行的功能研究证实,他们对药物治疗没有反应。分子特征突出显示,在 F508del 变体的顺式位置存在另一个氨基酸取代,L467F,表明这两个患者都是复杂等位基因的携带者。在异源表达系统中的功能和生化分析表明,双突变体 L467F-F508del 的活性严重降低,CFTR 调节剂的作用可忽略不计。虽然需要进一步研究来调查 L467F-F508del 等位基因的实际流行率,但我们的结果表明,在对 CFTR 调节剂没有反应的 CF 患者中,应考虑这种复杂等位基因作为可能的原因。

https://cdn.ncbi.nlm.nih.gov/pmc/blobs/33d8/8952007/2c4d9d2565f6/ijms-23-03175-g001.jpg

文献AI研究员

20分钟写一篇综述,助力文献阅读效率提升50倍。

立即体验

用中文搜PubMed

大模型驱动的PubMed中文搜索引擎

马上搜索

文档翻译

学术文献翻译模型,支持多种主流文档格式。

立即体验