Suppr超能文献

人类 TDP1、APE1 和 TREX1 修复体外无碱基位点产生的 3'-DNA-肽/蛋白交联。

Human TDP1, APE1 and TREX1 repair 3'-DNA-peptide/protein cross-links arising from abasic sites in vitro.

机构信息

Division of Chemical Biology and Medicinal Chemistry, College of Pharmacy, The University of Texas at Austin, Austin, TX 78712, USA.

Department of Molecular Biosciences, The University of Texas at Austin, Austin, TX 78712, USA.

出版信息

Nucleic Acids Res. 2022 Apr 22;50(7):3638-3657. doi: 10.1093/nar/gkac185.

Abstract

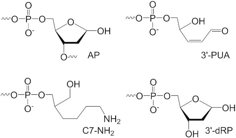
Histones and many other proteins react with abundant endogenous DNA lesions, apurinic/apyrimidinic (abasic, AP) sites and/or 3'-phospho-α,β-unsaturated aldehyde (3'-PUA), to form unstable but long-lived Schiff base DNA-protein cross-links at 3'-DNA termini (3'-PUA-protein DPCs). Poly (ADP-ribose) polymerase 1 (PARP1) cross-links to the AP site in a similar manner but the Schiff base is reduced by PARP1's intrinsic redox capacity, yielding a stable 3'-PUA-PARP1 DPC. Eradicating these DPCs is critical for maintaining the genome integrity because 3'-hydroxyl is required for DNA synthesis and ligation. But how they are repaired is not well understood. Herein, we chemically synthesized 3'-PUA-aminooxylysine-peptide adducts that closely resemble the proteolytic 3'-PUA-protein DPCs, and found that they can be repaired by human tyrosyl-DNA phosphodiesterase 1 (TDP1), AP endonuclease 1 (APE1) and three-prime repair exonuclease 1 (TREX1). We characterized these novel repair pathways by measuring the kinetic constants and determining the effect of cross-linked peptide length, flanking DNA structure, and the opposite nucleobase. We further found that these nucleases can directly repair 3'-PUA-histone DPCs, but not 3'-PUA-PARP1 DPCs unless proteolysis occurs initially. Collectively, we demonstrated that in vitro 3'-PUA-protein DPCs can be repaired by TDP1, APE1, and TREX1 following proteolysis, but the proteolysis is not absolutely required for smaller DPCs.

摘要

组蛋白和许多其他蛋白质与丰富的内源性 DNA 损伤、无嘌呤/无嘧啶(AP)位点和/或 3'-磷酸-α,β-不饱和醛(3'-PUA)反应,在 3'-DNA 末端形成不稳定但长寿命的席夫碱 DNA-蛋白质交联(3'-PUA-蛋白质 DPC)。多聚(ADP-核糖)聚合酶 1(PARP1)以类似的方式与 AP 位点交联,但席夫碱被 PARP1 的内在氧化还原能力还原,生成稳定的 3'-PUA-PARP1 DPC。消除这些 DPC 对于维持基因组完整性至关重要,因为 3'-羟基是 DNA 合成和连接所必需的。但它们是如何修复的还不是很清楚。在此,我们化学合成了与蛋白水解 3'-PUA-蛋白质 DPC 非常相似的 3'-PUA-氨基氧基赖氨酸-肽加合物,并发现它们可以被人类酪氨酸-DNA 磷酸二酯酶 1(TDP1)、AP 内切核酸酶 1(APE1)和 3'端修复外切核酸酶 1(TREX1)修复。我们通过测量动力学常数并确定交联肽长度、侧翼 DNA 结构和相反的核碱基的影响来表征这些新的修复途径。我们进一步发现,这些核酸酶可以直接修复 3'-PUA-组蛋白 DPC,但不能修复 3'-PUA-PARP1 DPC,除非最初发生蛋白水解。总之,我们证明了在体外,3'-PUA-蛋白质 DPC 可以在蛋白水解后被 TDP1、APE1 和 TREX1 修复,但较小的 DPC 不需要蛋白水解。

https://cdn.ncbi.nlm.nih.gov/pmc/blobs/daae/9023300/9a97de67bda0/gkac185fig9.jpg

文献AI研究员

20分钟写一篇综述,助力文献阅读效率提升50倍。

立即体验

用中文搜PubMed

大模型驱动的PubMed中文搜索引擎

马上搜索

文档翻译

学术文献翻译模型,支持多种主流文档格式。

立即体验