Suppr超能文献

十种天然提取物独特混合以维持胆固醇稳态的活性——体外模型

The Activity of Ten Natural Extracts Combined in a Unique Blend to Maintain Cholesterol Homeostasis-In Vitro Model.

作者信息

Ruga Sara, Galla Rebecca, Penna Claudia, Molinari Claudio, Uberti Francesca

机构信息

Laboratory of Physiology, Department of Translational Medicine, University of Piemonte Orientale, Via Solaroli 17, 28100 Novara, Italy.

Laboratory of Cardiovascular Physiology, Dipartimento di Scienze Cliniche e Biologiche, Università degli Studi di Torino, Regione Gonzole 10, 10043 Orbassano, Italy.

出版信息

Int J Mol Sci. 2022 Mar 30;23(7):3805. doi: 10.3390/ijms23073805.

Abstract

BACKGROUND

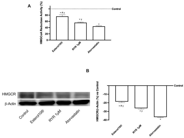
Hypercholesterolemia is a major cause of cardiovascular disease and statins, the HMGCoA inhibitors, are the most prescribed drugs. Statins reduce the production of hepatic cholesterol, leading to greater expression of the LDL receptor and greater absorption of circulating LDL, reducing peripheral LDL levels. Unfortunately, statins are believed to induce myopathy and other severe diseases. To overcome this problem, safe nutraceuticals with the same activity as statins could hold great promise in the prevention and treatment of hypercholesterolemia. In this study, the anti-cholesterol efficacy of a new nutraceutical, called Esterol10, was evaluated.

METHODS

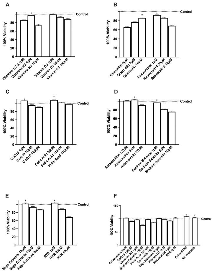
HepG2 cells were used to study the biological mechanisms exerted by Esterol10 analyzing different processes involved in cholesterol metabolism, also comparing data with Atorvastatin.

RESULTS

Our results indicate that Esterol10 leads to a reduction in total hepatocyte cholesterol and an improvement in the biosynthesis of free cholesterol and bile acids. Furthermore, the anti-cholesterol activity of Esterol10 was also confirmed by the modulation of the LDL receptor and by the accumulation of lipids, as well as by the main intracellular pathways involved in the metabolism of cholesterol.

CONCLUSIONS

Esterol10 is safe and effective with anti-cholesterol activity, potentially providing an alternative therapy to those based on statins for hypercholesterolemia disease.

摘要

背景

高胆固醇血症是心血管疾病的主要病因,他汀类药物(HMGCoA抑制剂)是处方量最多的药物。他汀类药物可减少肝脏胆固醇的生成,导致低密度脂蛋白(LDL)受体表达增加,循环中的LDL吸收增多,从而降低外周血LDL水平。不幸的是,他汀类药物被认为会诱发肌病和其他严重疾病。为克服这一问题,具有与他汀类药物相同活性的安全营养保健品在高胆固醇血症的预防和治疗方面可能具有巨大潜力。在本研究中,对一种名为Esterol10的新型营养保健品的抗胆固醇功效进行了评估。

方法

使用HepG2细胞研究Esterol10发挥作用的生物学机制,分析胆固醇代谢涉及的不同过程,并将数据与阿托伐他汀进行比较。

结果

我们的结果表明,Esterol10可降低肝细胞总胆固醇水平,改善游离胆固醇和胆汁酸的生物合成。此外,Esterol10的抗胆固醇活性还通过LDL受体的调节、脂质积累以及胆固醇代谢涉及的主要细胞内途径得到证实。

结论

Esterol10具有抗胆固醇活性,安全有效,可能为高胆固醇血症提供一种替代他汀类药物的治疗方法。

https://cdn.ncbi.nlm.nih.gov/pmc/blobs/8c97/8998641/581d2fb06e4f/ijms-23-03805-g001.jpg

文献AI研究员

20分钟写一篇综述,助力文献阅读效率提升50倍。

立即体验

用中文搜PubMed

大模型驱动的PubMed中文搜索引擎

马上搜索

文档翻译

学术文献翻译模型,支持多种主流文档格式。

立即体验