Suppr超能文献

来自肠道神经元体外模型的N-乙酰半胱氨酸、维生素D3和谷胱甘肽的联合抗氧化作用

The Combined Antioxidant Effects of N-Acetylcysteine, Vitamin D3, and Glutathione from the Intestinal-Neuronal In Vitro Model.

作者信息

Mulè Simone, Ferrari Sara, Rosso Giorgia, Brovero Arianna, Botta Mattia, Congiusta Alessia, Galla Rebecca, Molinari Claudio, Uberti Francesca

机构信息

Laboratory of Physiology, Department for Sustainable Development and Ecological Transition, University of Piemonte Orientale, UPO, 13100 Vercelli, Italy.

Department of Clinical and Biological Sciences, University of Turin, 10043 Turin, Italy.

出版信息

Foods. 2024 Mar 1;13(5):774. doi: 10.3390/foods13050774.

Abstract

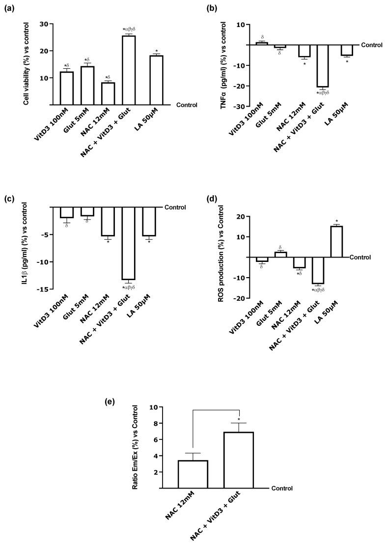
Chronic oxidative stress has been consistently linked to age-related diseases, conditions, and degenerative syndromes. Specifically, the brain is the organ that significantly contributes to declining quality of life in ageing. Since the body cannot completely counteract the detrimental effects of oxidative stress, nutraceuticals' antioxidant properties have received significant attention in recent years. This study assesses the potential health benefits of a novel combination of glutathione, vitamin D3, and N-acetylcysteine. To examine the combination's absorption and biodistribution and confirm that it has no harmful effects, the bioavailability of the mixture was first evaluated in a 3D model that mimicked the intestinal barrier. Further analyses on the blood-brain barrier was conducted to determine the antioxidant effects of the combination in the nervous system. The results show that the combination reaches the target and successfully crosses the blood-brain and intestinal barriers, demonstrating enhanced advantages on the neurological system, such as a reduction (about 10.5%) in inflammation and enhancement in cell myelination (about 20.4%) and brain tropism (about 18.1%) compared to the control. The results support the cooperative effect of N-acetylcysteine, vitamin D3, and glutathione to achieve multiple health benefits, outlining the possibility of an alternative nutraceutical approach.

摘要

慢性氧化应激一直与年龄相关的疾病、状况和退行性综合征有关。具体而言,大脑是导致老年人生活质量下降的一个重要器官。由于身体无法完全抵消氧化应激的有害影响,近年来营养保健品的抗氧化特性受到了极大关注。本研究评估了谷胱甘肽、维生素D3和N-乙酰半胱氨酸新型组合的潜在健康益处。为了研究该组合的吸收和生物分布,并确认其无有害影响,首先在模拟肠道屏障的三维模型中评估了该混合物的生物利用度。随后对血脑屏障进行了进一步分析,以确定该组合在神经系统中的抗氧化作用。结果表明,该组合能够到达靶点并成功穿过血脑屏障和肠道屏障,与对照组相比,在神经系统方面表现出增强的优势,如炎症减少(约10.5%)、细胞髓鞘形成增强(约20.4%)和脑趋向性增强(约18.1%)。这些结果支持了N-乙酰半胱氨酸、维生素D3和谷胱甘肽的协同作用可带来多种健康益处,概述了采用替代营养保健方法的可能性。

https://cdn.ncbi.nlm.nih.gov/pmc/blobs/5b9f/10931255/a626b4f74072/foods-13-00774-g0A1.jpg

文献AI研究员

20分钟写一篇综述,助力文献阅读效率提升50倍。

立即体验

用中文搜PubMed

大模型驱动的PubMed中文搜索引擎

马上搜索

文档翻译

学术文献翻译模型,支持多种主流文档格式。

立即体验