Suppr超能文献

维生素D改善硫代乙酰胺所致大鼠肝脏氧化损伤及纤维化效应。

Vitamin D Ameliorates the Hepatic Oxidative Damage and Fibrotic Effect Caused by Thioacetamide in Rats.

作者信息

Megahed Aya, Gadalla Hossam, Abdelhamid Fatma M, Almehmadi Samah J, Khan Anmar A, Albukhari Talat A, Risha Engy F

机构信息

Department of Clinical Pathology, Faculty of Veterinary Medicine, Mansoura University, Mansour 35516, Egypt.

Laboratory Medicine Department, Faculty of Applied Medical Sciences, Umm Al-Qura University, Al Abdeyah, Makkah P.O. Box 7607, Saudi Arabia.

出版信息

Biomedicines. 2023 Feb 1;11(2):424. doi: 10.3390/biomedicines11020424.

Abstract

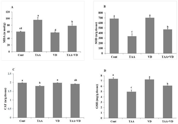
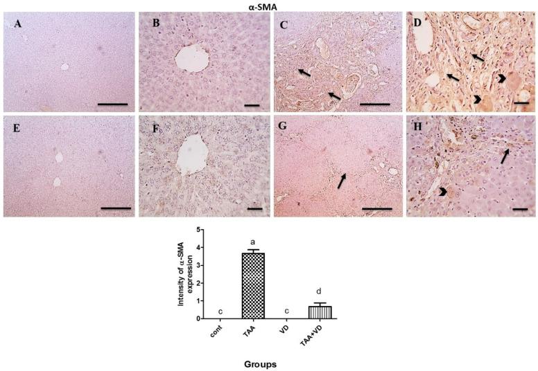
Vitamin D (VD) is a sunshine hormone that regulates cellular proliferation, differentiation, apoptosis, and angiogenesis related to liver parenchyma. We used a thioacetamide (TAA)-induced hepatic fibrosis rat model in our study to investigate the beneficial roles of VD to overcome extensive liver fibrosis. Randomly, four equal groups (eight rats per group) underwent therapy for eight successive weeks: a control group, a group treated with TAA 100 mg/kg BW IP every other day, a group treated with VD 1000 IU/kg BW IM every day, and a TAA+VD group treated with both therapies. Treatment with VD after TAA-induced hepatic fibrosis was found to alleviate elevated liver function measures by decreasing ALT, AST, and ALP activity; decreasing total bilirubin, direct bilirubin, cholesterol, and triglyceride levels; and increasing glucose and 25[OH]D. Rats treated with VD showed marked decreases in MDA and increased SOD, CAT, and GSH levels. In addition, CD34 and FGF23 gene expressions were reduced after dual therapy. Liver sections from the TAA+VD group showed markedly decreased hepatic lesions, and Masson's trichrome stain showed a marked decrease in dense bluish-stained fibrous tissue. The immunohistochemical expression of TGF-β and α-SMA showed markedly decreased positive brown cytoplasmic expression in a few hepatocytes, clarifying the antifibrotic effect of VD in hepatic fibrosis. In conclusion, VD alleviates hepatotoxicity and fibrosis caused by TAA.

摘要

维生素D(VD)是一种阳光激素,可调节与肝实质相关的细胞增殖、分化、凋亡和血管生成。在我们的研究中,我们使用硫代乙酰胺(TAA)诱导的肝纤维化大鼠模型来研究VD在克服广泛性肝纤维化方面的有益作用。随机将四组相等的大鼠(每组八只)连续治疗八周:对照组、每隔一天腹腔注射100mg/kg体重TAA的组、每天肌肉注射1000IU/kg体重VD的组以及接受两种治疗的TAA + VD组。发现TAA诱导肝纤维化后用VD治疗可通过降低ALT、AST和ALP活性来减轻肝功能指标升高;降低总胆红素、直接胆红素、胆固醇和甘油三酯水平;并增加葡萄糖和25[OH]D。用VD治疗的大鼠MDA明显降低,SOD、CAT和GSH水平升高。此外,联合治疗后CD34和FGF23基因表达降低。TAA + VD组的肝切片显示肝损伤明显减轻,Masson三色染色显示深蓝色染色的纤维组织明显减少。TGF-β和α-SMA的免疫组化表达显示少数肝细胞中棕色细胞质阳性表达明显降低,阐明了VD在肝纤维化中的抗纤维化作用。总之,VD可减轻TAA引起的肝毒性和纤维化。

https://cdn.ncbi.nlm.nih.gov/pmc/blobs/ef4f/9953330/80778dd5249b/biomedicines-11-00424-g001.jpg

文献AI研究员

20分钟写一篇综述,助力文献阅读效率提升50倍。

立即体验

用中文搜PubMed

大模型驱动的PubMed中文搜索引擎

马上搜索

文档翻译

学术文献翻译模型,支持多种主流文档格式。

立即体验