Suppr超能文献

瞳孔反应对主观亮度感知的影响。

The influence of pupil responses on subjective brightness perception.

机构信息

26656Ghent University, Belgium; 3647University of Groningen, the Netherlands.

26656Ghent University, Belgium.

出版信息

Perception. 2022 Jun;51(6):370-387. doi: 10.1177/03010066221094757. Epub 2022 May 2.

Abstract

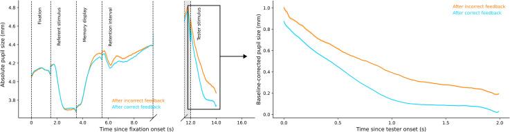
When the pupil dilates, the amount of light that falls onto the retina increases. However, in daily life, this does not make the world look brighter. Here we asked whether pupil size (resulting from active pupil movement) influences subjective brightness in the absence of indirect cues that, in daily life, support brightness constancy. We measured the subjective brightness of a tester stimulus relative to a referent as a function of pupil size during tester presentation. In Experiment 1, we manipulated pupil size through a secondary working-memory task (larger pupils with higher load and after errors). We found some evidence that the tester was perceived as darker, rather than brighter, when pupils were larger. In Experiment 2, we presented a red or blue display (larger pupils following red displays). We again found that the tester was perceived as darker when pupils were larger. We speculate that the visual system takes pupil size into account when making brightness judgments. Finally, we highlight the challenges associated with manipulating pupil size. In summary, the current study (as well as a recent pharmacological study on the same topic by another team) is intriguing first steps towards understanding the role of pupil size in brightness perception.

摘要

当瞳孔扩大时,落在视网膜上的光量增加。然而,在日常生活中,这并不会使世界看起来更亮。在这里,我们询问了瞳孔大小(由于瞳孔主动运动引起)是否会影响主观亮度,而不存在日常生活中支持亮度恒常性的间接线索。我们在测试器呈现期间,根据瞳孔大小来测量测试器刺激相对于参照刺激的主观亮度。在实验 1 中,我们通过次要工作记忆任务(更高负荷和错误后瞳孔更大)来操纵瞳孔大小。我们发现了一些证据表明,当瞳孔较大时,测试器被感知为更暗而不是更亮。在实验 2 中,我们呈现了红色或蓝色显示(红色显示后瞳孔更大)。我们再次发现,当瞳孔较大时,测试器被感知为更暗。我们推测,视觉系统在进行亮度判断时会考虑瞳孔大小。最后,我们强调了操纵瞳孔大小相关的挑战。总之,本研究(以及另一组关于同一主题的药理学研究)是理解瞳孔大小在亮度感知中的作用的有趣的初步步骤。

https://cdn.ncbi.nlm.nih.gov/pmc/blobs/00e5/9121535/1447be8a8d23/10.1177_03010066221094757-fig1.jpg

文献AI研究员

20分钟写一篇综述,助力文献阅读效率提升50倍。

立即体验

用中文搜PubMed

大模型驱动的PubMed中文搜索引擎

马上搜索

文档翻译

学术文献翻译模型,支持多种主流文档格式。

立即体验