Suppr超能文献

2014 - 2019年阿联酋阿布扎比酋长国从牲畜中分离出的抗生素耐药性

Antibiotics Resistance in Isolated from Livestock in the Emirate of Abu Dhabi, UAE, 2014-2019.

作者信息

Abdelwahab Ghada Elderdiri, Ishag Hassan Zackaria Ali, Al Hammadi Zulaikha Mohamed, Al Yammahi Saeed Mohamed S, Mohd Yusof Mohd Faoruk Bin, Al Yassi Muna Sayed Y, Al Neyadi Shaikha Saeed A, Al Mansoori Asma Mohammed A, Al Hamadi Fawzia Hassan A, Al Hamadi Ibtesam Abdullah S, Hosani Mohamed Ali Abdalla Al, Mohammed Al Muhairi Salama Suhail

机构信息

Veterinary Laboratories Division, Animal Wealth Sector, Abu Dhabi Agriculture and Food Safety Authority (ADAFSA), Abu Dhabi, UAE.

出版信息

Int J Microbiol. 2022 Apr 26;2022:3411560. doi: 10.1155/2022/3411560. eCollection 2022.

Abstract

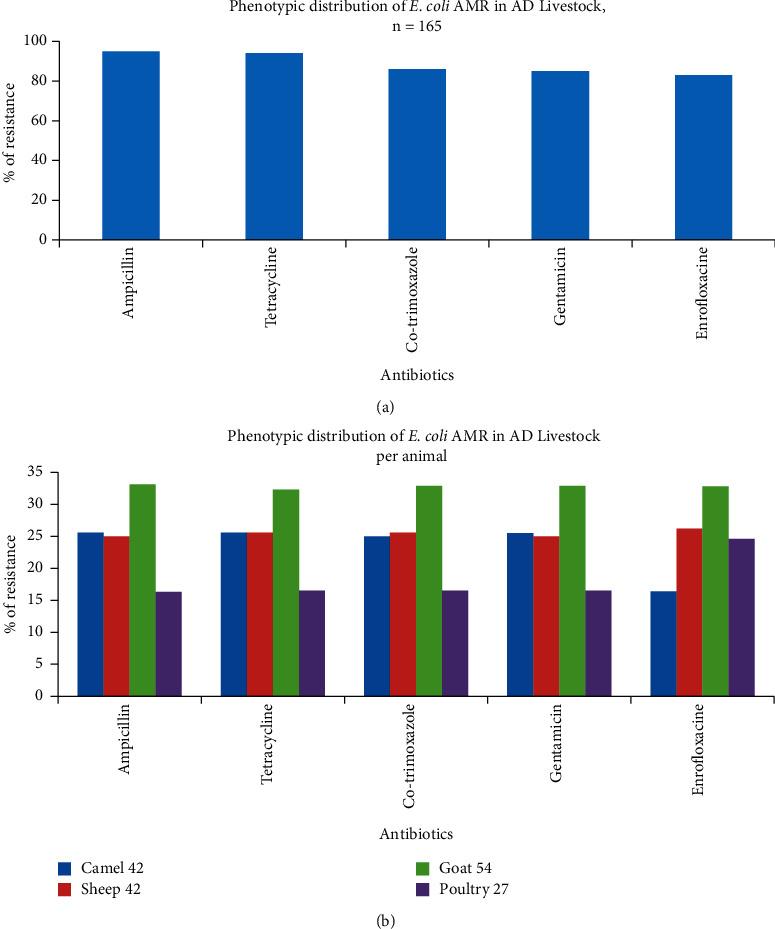
() is a zoonotic pathogen that showed growing resistance to antibiotics. No descriptive analysis highlights the threat of antimicrobial-resistant (AMR) of among livestock in the United Arab Emirates (UAE). Herein, we conducted phenotypic and genotypic resistance studies on isolates from livestock samples in the Emirate of Abu Dhabi based on routine diagnosis between the periods 2014-2019. Bacterial culture and disk diffusion methods were used for bacterial isolation and phenotypic resistance analysis. Resistance mechanism was studied by PCR targeting the most commonly resistance genes: ampicillin ( , , and ), tetracyclines ( and , co-trimoxazole [sulfamethoxazole (, , and ) + trimethoprim ( and ], aminoglycosides [, and aac(3)-IV], and fluoroquinolones ( and ). Analysis of 165 isolates showed resistant to ampicillin, tetracycline, co-trimoxazole, gentamicin, and enrofloxacin by 157/165 (95.4%), 154/165 (93.6%), 141/165 (86%), 139/165 (85%), and 135/165 (82.7%), respectively. Predominant resistance gene/s detected by PCR were (119/160, 72%) and (154/160, 96.3%) for ampicillin; (162/164, 98.8%) and (112/164, 68.3%) for tetracyclines; (156/164, 95%), (138/164, 84%), and (74/164, 44.5%) for co-trimoxazole; (134/164, 82.1%) and (161/164, 98.2%) for aminoglycosides; and (61/61, 100%) for enrofloxacin. Both phenotypic and genotypic analyses revealed that all isolates were multidrug-resistant (resistance to 3, 4, and 5 antibiotics classes by 3.6%, 57.6%, and 38.8%, respectively) carrying one or more resistance gene/s for the same antibiotic. PCR profiling confirmed the presence of resistance genes corresponding to their antibiotic profile. Results of the study will highlight the knowledge based on AMR related to livestock in UAE that may call for interventions.

摘要

()是一种对抗生素耐药性不断增强的人畜共患病原体。在阿拉伯联合酋长国(阿联酋),没有描述性分析突出显示牲畜中抗菌药物耐药性(AMR)的威胁。在此,我们基于2014年至2019年期间的常规诊断,对阿布扎比酋长国牲畜样本中的分离株进行了表型和基因型耐药性研究。采用细菌培养和纸片扩散法进行细菌分离和表型耐药性分析。通过针对最常见耐药基因的PCR研究耐药机制:氨苄青霉素( 、 、和 )、四环素( 和 、复方新诺明[磺胺甲恶唑( 、 、和 )+甲氧苄啶( 和 )]、氨基糖苷类[ 、 和aac(3)-IV]以及氟喹诺酮类( 和 )。对165株分离株的分析显示,对氨苄青霉素、四环素、复方新诺明、庆大霉素和恩诺沙星耐药的分别有157/165(95.4%)、154/165(93.6%)、141/165(86%)、139/165(85%)和135/165(82.7%)。通过PCR检测到的主要耐药基因,对于氨苄青霉素为 (119/160,72%)和 (154/160,96.3%);对于四环素为 (162/164,98.8%)和 (112/164,68.3%);对于复方新诺明为 (156/164,95%)、 (138/164,84%)和 (74/164,44.5%);对于氨基糖苷类为 (134/164,82.1%)和 (161/164,98.2%);对于恩诺沙星为 (61/61,100%)。表型和基因型分析均显示,所有分离株均为多重耐药(分别对3、4和5类抗生素耐药的占3.6%、57.6%和38.8%),携带针对同一种抗生素的一个或多个耐药基因。PCR分析证实了与其抗生素谱相对应的耐药基因的存在。该研究结果将突出基于阿联酋牲畜相关AMR的知识,这可能需要采取干预措施。

https://cdn.ncbi.nlm.nih.gov/pmc/blobs/15e9/9064518/d4ea1e608d88/IJMICRO2022-3411560.001.jpg

文献AI研究员

20分钟写一篇综述,助力文献阅读效率提升50倍。

立即体验

用中文搜PubMed

大模型驱动的PubMed中文搜索引擎

马上搜索

文档翻译

学术文献翻译模型,支持多种主流文档格式。

立即体验