Suppr超能文献

血浆神经丝轻链在记忆门诊的临床应用:一项初步研究。

Clinical Application of Plasma Neurofilament Light Chain in a Memory Clinic: A Pilot Study.

作者信息

Shim YongSoo

机构信息

Department of Neurology, The Catholic University of Korea, Eunpyeong St. Mary's Hospital, Seoul, Korea.

出版信息

Dement Neurocogn Disord. 2022 Apr;21(2):59-70. doi: 10.12779/dnd.2022.21.2.59. Epub 2022 Mar 14.

Abstract

BACKGROUND AND PURPOSE

Neurofilament light chain (NfL) has been considered as a biomarker for neurodegenerative diseases including Alzheimer's disease (AD). We measured plasma NfL levels in older adults with cognitive complaints and evaluated their clinical usefulness in AD.

METHODS

Plasma levels of NfL, measured by using the single molecule array method, were acquired in a total of 113 subjects consisting of subjective cognitive decline (SCD; n=14), mild cognitive impairment (MCI; n=37), or dementia of Alzheimer type (DAT; n=62). Plasma NfL level was compared among three groups, and its association with cognitive and functional status was also analyzed.

RESULTS

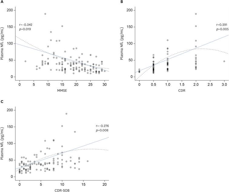
After adjusting for age, plasma NfL level was higher in subjects with DAT (65.98±84.96 pg/mL), compared to in subjects with SCD (16.90±2.54 pg/mL) or MCI (25.53±10.42 pg/mL, =0.004). NfL levels were correlated with scores of the mini-mental state examination (r=-0.242, =0.021), clinical dementia rating (CDR) (r=0.291, =0.005), or CDR-sum of boxes (r=0.276, =0.008). Just for participants who performed amyloid positron emission tomography (PET), the levels were different between subjects with PET (-) (n=17, 25.95±13.25 pg/mL) and PET (+) (n=16, 63.65±81.90 pg/mL, =0.010). Additionally, plasma NfL levels were different between vascular dementia and vascular MCI, and between Parkinson's disease- dementia and no dementia.

CONCLUSIONS

This pilot study shows that in subjects with DAT, plasma NfL levels increase. Plasma NfL level correlated with cognitive and functional status. Further longitudinal studies may help to apply the plasma NfL levels to AD, as a potential biomarker for the diagnosis and predicting progression.

摘要

背景与目的

神经丝轻链(NfL)被认为是包括阿尔茨海默病(AD)在内的神经退行性疾病的生物标志物。我们测量了有认知主诉的老年人血浆NfL水平,并评估了其在AD中的临床应用价值。

方法

采用单分子阵列法测量了总共113名受试者的血浆NfL水平,这些受试者包括主观认知下降(SCD;n = 14)、轻度认知障碍(MCI;n = 37)或阿尔茨海默型痴呆(DAT;n = 62)。比较了三组之间的血浆NfL水平,并分析了其与认知和功能状态的关联。

结果

在调整年龄后,DAT患者的血浆NfL水平(65.98±84.96 pg/mL)高于SCD患者(16.90±2.54 pg/mL)或MCI患者(25.53±10.42 pg/mL,P = 0.004)。NfL水平与简易精神状态检查表评分(r = -0.242,P = 0.021)、临床痴呆评定量表(CDR)(r = 0.291,P = 0.005)或CDR-总分箱(r = 0.276,P = 0.008)相关。仅对于进行淀粉样蛋白正电子发射断层扫描(PET)的参与者,PET(-)受试者(n = 17,25.95±13.25 pg/mL)和PET(+)受试者(n = 16,63.65±81.90 pg/mL,P = 0.010)之间的水平存在差异。此外,血管性痴呆和血管性MCI之间以及帕金森病痴呆和无痴呆之间的血浆NfL水平也存在差异。

结论

这项初步研究表明,在DAT患者中,血浆NfL水平升高。血浆NfL水平与认知和功能状态相关。进一步的纵向研究可能有助于将血浆NfL水平应用于AD,作为诊断和预测疾病进展的潜在生物标志物。

https://cdn.ncbi.nlm.nih.gov/pmc/blobs/d424/9085534/1d1c84273bd1/dnd-21-59-g001.jpg

文献AI研究员

20分钟写一篇综述,助力文献阅读效率提升50倍。

立即体验

用中文搜PubMed

大模型驱动的PubMed中文搜索引擎

马上搜索

文档翻译

学术文献翻译模型,支持多种主流文档格式。

立即体验