Suppr超能文献

血清神经丝轻链和胶质纤维酸性蛋白在阿尔茨海默病诊断中的评估

Evaluation of serum neurofilament light chain and glial fibrillary acidic protein in the diagnosis of Alzheimer's disease.

作者信息

Fang Tangni, Dai Yaqian, Hu Xueyi, Xu Yuanhong, Qiao Jinping

机构信息

Department of Clinical Laboratory, The First Affiliated Hospital of Anhui Medical University, Hefei, China.

出版信息

Front Neurol. 2024 Jan 30;15:1320653. doi: 10.3389/fneur.2024.1320653. eCollection 2024.

Abstract

PURPOSE

This study aimed to evaluate the use of serum neurofilament light chain (NfL) and glial fibrillary acidic protein (GFAP) in the diagnosis of Alzheimer's disease (AD) and the differential diagnosis between AD and mild cognitive impairment (MCI).

METHODS

From September 2021 to October 2022, we collected venous blood from patients and healthy individuals who visited our hospital's Neurology Department, and we isolated serum to detect NfL and GFAP using direct chemiluminescence. The results were analyzed using one-way analysis of variance (ANOVA) analysis and receiver operating characteristic (ROC) curves.

RESULTS

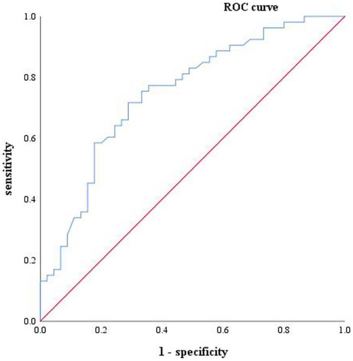
Pairwise comparisons among the three groups showed that compared with the health checkup (HC) group, serum NfL and GFAP were increased in both AD and MCI ( < 0.05,  < 0.01). There were significant differences in GFAP between MCI and AD groups, and the level in AD group was higher ( < 0.01), while there was no difference in NfL. Both serum NfL and serum GFAP levels can independently diagnose AD ( < 0.01). The ROC curve showed that GFAP had a higher diagnostic efficacy, with an area under the ROC curve (AUC) of 0.928. The cut-off values of the two serum markers for the diagnosis of AD were NfL > 40.09 pg./mL and GFAP >31.40 pg./mL. Sensitivity and specificity for NfL in the diagnosis of AD were 59.6 and 76.2%, respectively, and for GFAP, they were 90.4 and 82.1%, respectively. The combined diagnosis of GFAP and NfL improved the diagnostic efficiency (AUC = 0.931, sensitivity = 78.8%, specificity = 92.3%). The cut-off value of GFAP for the differential diagnosis of MCI and AD was 46.05 pg./mL.

CONCLUSION

Both serum NfL and serum GFAP can be used as biomarkers for the diagnosis of AD. Serum GFAP has better diagnostic efficacy and can distinguish AD from MCI. A combined diagnosis can improve diagnostic specificity.

摘要

目的

本研究旨在评估血清神经丝轻链(NfL)和胶质纤维酸性蛋白(GFAP)在阿尔茨海默病(AD)诊断以及AD与轻度认知障碍(MCI)鉴别诊断中的应用。

方法

2021年9月至2022年10月,我们从我院神经内科就诊的患者和健康个体中采集静脉血,分离血清后采用直接化学发光法检测NfL和GFAP。结果采用单因素方差分析(ANOVA)和受试者工作特征(ROC)曲线进行分析。

结果

三组间两两比较显示,与健康体检(HC)组相比,AD组和MCI组的血清NfL和GFAP均升高(<0.05,<0.01)。MCI组和AD组之间的GFAP存在显著差异,AD组水平更高(<0.01),而NfL无差异。血清NfL和血清GFAP水平均可独立诊断AD(<0.01)。ROC曲线显示,GFAP具有更高的诊断效能,ROC曲线下面积(AUC)为0.928。两种血清标志物诊断AD的临界值分别为NfL>40.09 pg./mL和GFAP>31.40 pg./mL。NfL诊断AD的敏感性和特异性分别为59.6%和76.2%,GFAP的敏感性和特异性分别为90.4%和82.1%。GFAP和NfL联合诊断提高了诊断效率(AUC=0.931,敏感性=78.8%,特异性=92.3%)。GFAP鉴别诊断MCI和AD的临界值为46.05 pg./mL。

结论

血清NfL和血清GFAP均可作为AD诊断的生物标志物。血清GFAP具有更好的诊断效能,能够区分AD和MCI。联合诊断可提高诊断特异性。

https://cdn.ncbi.nlm.nih.gov/pmc/blobs/c122/10861667/93d51f895831/fneur-15-1320653-g001.jpg

文献AI研究员

20分钟写一篇综述,助力文献阅读效率提升50倍。

立即体验

用中文搜PubMed

大模型驱动的PubMed中文搜索引擎

马上搜索

文档翻译

学术文献翻译模型,支持多种主流文档格式。

立即体验