Suppr超能文献

长期实验进化使 的大小和生产成本脱钩。

Long-term experimental evolution decouples size and production costs in .

机构信息

Centre for Geometric Biology, School of Biological Sciences, Monash University, Melbourne, VIC 3800, Australia.

Centre for Integrative Ecology, School of Life and Environmental Sciences, Deakin University, Melbourne, VIC 3125, Australia.

出版信息

Proc Natl Acad Sci U S A. 2022 May 24;119(21):e2200713119. doi: 10.1073/pnas.2200713119. Epub 2022 May 20.

Abstract

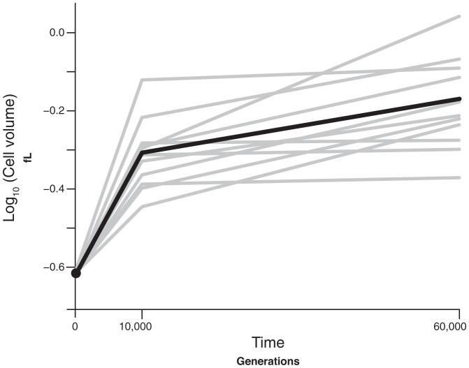
Body size covaries with population dynamics across life’s domains. Metabolism may impose fundamental constraints on the coevolution of size and demography, but experimental tests of the causal links remain elusive. We leverage a 60,000-generation experiment in which Escherichia coli populations evolved larger cells to examine intraspecific metabolic scaling and correlations with demographic parameters. Over the course of their evolution, the cells have roughly doubled in size relative to their ancestors. These larger cells have metabolic rates that are absolutely higher, but relative to their size, they are lower. Metabolic theory successfully predicted the relations between size, metabolism, and maximum population density, including support for Damuth’s law of energy equivalence, such that populations of larger cells achieved lower maximum densities but higher maximum biomasses than populations of smaller cells. The scaling of metabolism with cell size thus predicted the scaling of size with maximum population density. In stark contrast to standard theory, however, populations of larger cells grew faster than those of smaller cells, contradicting the fundamental and intuitive assumption that the costs of building new individuals should scale directly with their size. The finding that the costs of production can be decoupled from size necessitates a reevaluation of the evolutionary drivers and ecological consequences of biological size more generally.

摘要

生物体大小与生命领域的种群动态密切相关。代谢可能对大小和种群动态的共同进化施加基本限制,但因果关系的实验测试仍然难以捉摸。我们利用大肠杆菌种群进化出更大细胞的 60000 代实验,来检验种内代谢缩放和与人口统计参数的相关性。在进化过程中,细胞的大小相对于其祖先大约增加了一倍。这些更大的细胞具有更高的绝对代谢率,但相对于其大小,它们的代谢率较低。代谢理论成功地预测了大小、代谢和最大种群密度之间的关系,包括对达莫特能量等效定律的支持,即较大细胞的种群实现了较低的最大密度,但比较小细胞的种群具有更高的最大生物量。因此,代谢与细胞大小的缩放预测了大小与最大种群密度的缩放。然而,与标准理论形成鲜明对比的是,较大细胞的种群比较小细胞的种群生长得更快,这与建造新个体的成本应该与其大小直接成比例的基本和直观假设相矛盾。生产的成本可以与大小解耦的发现,需要重新评估生物大小的进化驱动力和生态后果。

https://cdn.ncbi.nlm.nih.gov/pmc/blobs/8b95/9173777/82bbc0f874ee/pnas.2200713119fig01.jpg

文献AI研究员

20分钟写一篇综述,助力文献阅读效率提升50倍。

立即体验

用中文搜PubMed

大模型驱动的PubMed中文搜索引擎

马上搜索

文档翻译

学术文献翻译模型,支持多种主流文档格式。

立即体验