Suppr超能文献

在长新冠综合征中,持续的 VWF-ADAMTS-13 轴失衡和血管内皮病变与免疫功能障碍有关。

Sustained VWF-ADAMTS-13 axis imbalance and endotheliopathy in long COVID syndrome is related to immune dysfunction.

机构信息

Irish Centre for Vascular Biology, School of Pharmacy and Biomolecular Sciences, Royal College of Surgeons in Ireland, Dublin, Ireland.

Department of Infectious Diseases, St James's Hospital, Dublin, Ireland.

出版信息

J Thromb Haemost. 2022 Oct;20(10):2429-2438. doi: 10.1111/jth.15830. Epub 2022 Aug 4.

Abstract

BACKGROUND

Prolonged recovery is common after acute SARS-CoV-2 infection; however, the pathophysiological mechanisms underpinning Long COVID syndrome remain unknown. VWF/ADAMTS-13 imbalance, dysregulated angiogenesis, and immunothrombosis are hallmarks of acute COVID-19. We hypothesized that VWF/ADAMTS-13 imbalance persists in convalescence together with endothelial cell (EC) activation and angiogenic disturbance. Additionally, we postulate that ongoing immune cell dysfunction may be linked to sustained EC and coagulation activation.

PATIENTS AND METHODS

Fifty patients were reviewed at a minimum of 6 weeks following acute COVID-19. ADAMTS-13, Weibel Palade Body (WPB) proteins, and angiogenesis-related proteins were assessed and clinical evaluation and immunophenotyping performed. Comparisons were made with healthy controls (n = 20) and acute COVID-19 patients (n = 36).

RESULTS

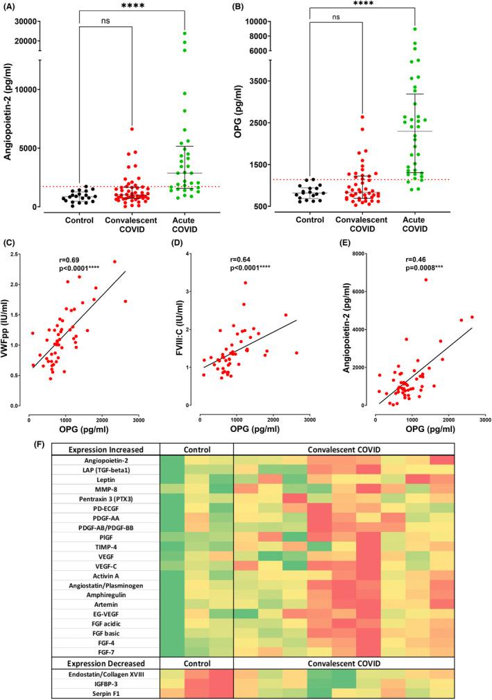
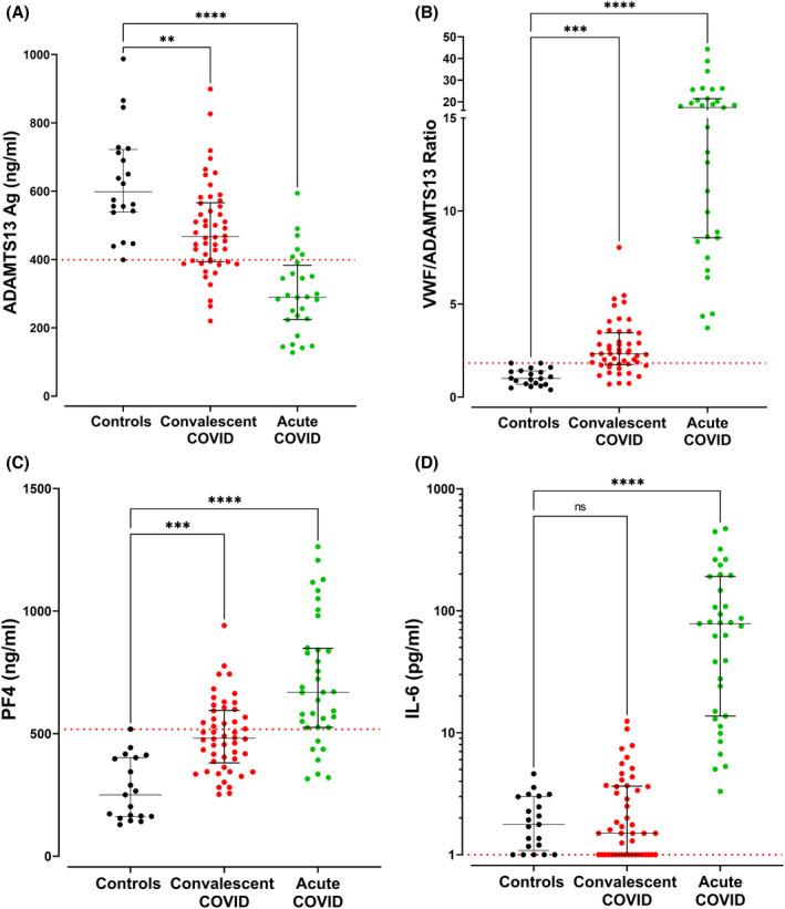
ADAMTS-13 levels were reduced (p = 0.009) and the VWF-ADAMTS-13 ratio was increased in convalescence (p = 0.0004). Levels of platelet factor 4 (PF4), a putative protector of VWF, were also elevated (p = 0.0001). A non-significant increase in WPB proteins Angiopoietin-2 (Ang-2) and Osteoprotegerin (OPG) was observed in convalescent patients and WPB markers correlated with EC parameters. Enhanced expression of 21 angiogenesis-related proteins was observed in convalescent COVID-19. Finally, immunophenotyping revealed significantly elevated intermediate monocytes and activated CD4+ and CD8+ T cells in convalescence, which correlated with thrombin generation and endotheliopathy markers, respectively.

CONCLUSION

Our data provide insights into sustained EC activation, dysregulated angiogenesis, and VWF/ADAMTS-13 axis imbalance in convalescent COVID-19. In keeping with the pivotal role of immunothrombosis in acute COVID-19, our findings support the hypothesis that abnormal T cell and monocyte populations may be important in the context of persistent EC activation and hemostatic dysfunction during convalescence.

摘要

背景

急性 SARS-CoV-2 感染后恢复时间较长较为常见;然而,导致长新冠综合征的病理生理机制仍不清楚。血管性血友病因子(VWF)/解整合素金属蛋白酶 13(ADAMTS-13)失衡、血管生成失调和免疫血栓形成是急性 COVID-19 的标志。我们假设,VWF/ADAMTS-13 失衡在康复期间持续存在,同时伴有内皮细胞(EC)激活和血管生成障碍。此外,我们推测持续的免疫细胞功能障碍可能与持续的 EC 和凝血激活有关。

患者和方法

在急性 COVID-19 后至少 6 周,对 50 名患者进行了回顾性分析。评估了 ADAMTS-13、Weibel-Palade 体(WPB)蛋白和与血管生成相关的蛋白,并进行了临床评估和免疫表型分析。将这些结果与健康对照组(n=20)和急性 COVID-19 患者(n=36)进行了比较。

结果

在康复期间,ADAMTS-13 水平降低(p=0.009),VWF-ADAMTS-13 比值升高(p=0.0004)。血小板因子 4(PF4)水平也升高,PF4 是 VWF 的一种假定保护因子(p=0.0001)。在康复期患者中观察到 WPB 蛋白血管生成素-2(Ang-2)和骨保护素(OPG)非显著增加,并且 WPB 标志物与 EC 参数相关。在康复的 COVID-19 患者中观察到 21 种与血管生成相关的蛋白表达增强。最后,免疫表型分析显示,康复期中间型单核细胞和活化的 CD4+和 CD8+T 细胞显著升高,分别与凝血酶生成和血管内皮病变标志物相关。

结论

我们的数据提供了关于持续的 EC 激活、血管生成失调和康复期 COVID-19 中 VWF/ADAMTS-13 轴失衡的见解。与急性 COVID-19 中的免疫血栓形成关键作用一致,我们的研究结果支持这样的假设,即异常的 T 细胞和单核细胞群体可能在康复期间持续的 EC 激活和止血功能障碍中起重要作用。

https://cdn.ncbi.nlm.nih.gov/pmc/blobs/cf12/10170413/eb50cf3a127e/JTH-20-2429-g002.jpg

文献AI研究员

20分钟写一篇综述,助力文献阅读效率提升50倍。

立即体验

用中文搜PubMed

大模型驱动的PubMed中文搜索引擎

马上搜索

文档翻译

学术文献翻译模型,支持多种主流文档格式。

立即体验