Suppr超能文献

肌肉量低与晚年的死亡风险:一项为期 10 年的随访研究。

Low muscle mass and mortality risk later in life: A 10-year follow-up study.

机构信息

Postgraduate Program in Health Sciences, Medical School, Federal University of Goiás (UFG), Goiania, Brazil.

Faculty of Nursing, Postgraduate Program in Nursing, Federal University of Goiás (UFG), Goiania, Brazil.

出版信息

PLoS One. 2022 Jul 28;17(7):e0271579. doi: 10.1371/journal.pone.0271579. eCollection 2022.

Abstract

INTRODUCTION

Little is known about the impact of low muscle mass (MM) assessed by calf circumference (CC), arm circumference (AC), arm muscle circumference (AMC), and corrected arm muscle circumference (CAMC)-on mortality risk later in life. We aimed to investigate the impact of low MM assessed by CC, AC, AMC and, CAMC on all-cause, cardiovascular, and cancer mortality risk.

METHODS

Data came from 418 older adults who participated in a 10-year follow-up prospective cohort study. Low MM was defined as a CC < 33 cm for women and < 34 cm for men and by the lowest tertile of AC, AMC, and CAMC stratified by sex. The log rank test, Kaplan-Meier curves, and Cox regression were used.

RESULTS

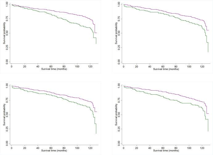
There were 147 deaths: 49 related to CVD and 22 to cancer. A small CC (HR = 1.57, 95% CI, 1.12-2.20), AMC (HR = 1.61, 95% CI, 1.13-2.30) and CAMC (HR = 1.45, 95% CI, 1.03-2.04) were associated with all-cause mortality. A small CAMC was a protective factor for CVD mortality (HR = 0.46, 95% CI, 0.22-0.98). In the Kaplan-Meier analysis, older adults with LMM presented low all-cause mortality survival, with AC (p < 0.05), AMC (p < 0.005), CAMC (p < 0.002), and CC (p < 0.001). Cancer mortality was associated with low CAMC (p < 0.020).

CONCLUSIONS

Low MM assessed by anthropometric measures (AC, AMC, CAMC and CC) increased the all-cause mortality risk. A small CAMC decreased the CVD mortality.

摘要

简介

目前对于通过小腿围(CC)、臂围(AC)、臂肌围(AMC)和校正臂肌围(CAMC)评估的低肌肉量(MM)对晚年死亡风险的影响知之甚少。我们旨在研究通过 CC、AC、AMC 和 CAMC 评估的低 MM 对全因、心血管和癌症死亡率风险的影响。

方法

数据来自 418 名参加了 10 年随访前瞻性队列研究的老年人。低 MM 定义为女性 CC<33cm,男性 CC<34cm,以及按性别分层的 AC、AMC 和 CAMC 最低三分位。使用对数秩检验、Kaplan-Meier 曲线和 Cox 回归。

结果

共有 147 人死亡:49 人死于心血管疾病,22 人死于癌症。较小的 CC(HR=1.57,95%CI,1.12-2.20)、AMC(HR=1.61,95%CI,1.13-2.30)和 CAMC(HR=1.45,95%CI,1.03-2.04)与全因死亡率相关。较小的 CAMC 是心血管疾病死亡率的保护因素(HR=0.46,95%CI,0.22-0.98)。在 Kaplan-Meier 分析中,低肌肉量的老年人全因死亡率生存曲线较低,AC(p<0.05)、AMC(p<0.005)、CAMC(p<0.002)和 CC(p<0.001)。癌症死亡率与低 CAMC 相关(p<0.020)。

结论

通过人体测量评估的低 MM(AC、AMC、CAMC 和 CC)增加了全因死亡率风险。较小的 CAMC 降低了 CVD 死亡率。

https://cdn.ncbi.nlm.nih.gov/pmc/blobs/7f80/9333286/516a80311065/pone.0271579.g001.jpg

文献AI研究员

20分钟写一篇综述,助力文献阅读效率提升50倍。

立即体验

用中文搜PubMed

大模型驱动的PubMed中文搜索引擎

马上搜索

文档翻译

学术文献翻译模型,支持多种主流文档格式。

立即体验