Suppr超能文献

英国的 BMI 轨迹、发病率和死亡率:一种估计 BMI 变化后果的两步法。

BMI trajectories, morbidity, and mortality in England: a two-step approach to estimating consequences of changes in BMI.

机构信息

Health Economics and Decision Science, School of Health and Related Research, University of Sheffield, Sheffield, UK.

Healthy Lifespan Institute, University of Sheffield, Sheffield, UK.

出版信息

Obesity (Silver Spring). 2022 Sep;30(9):1898-1907. doi: 10.1002/oby.23510. Epub 2022 Aug 3.

Abstract

OBJECTIVE

BMI is known to have an association with morbidities and mortality. Many studies have argued that identifying health risks using single BMI measures has limitations, particularly in older adults, and that changes in BMI can help to identify risks. This study identifies distinct BMI trajectories and their association with the risks of a range of morbidities and mortality.

METHODS

The English Longitudinal Study of Aging provides data on BMI, mortality, and morbidities between 1998 and 2015, sampled from adults over 50 years of age. This study uses a growth-mixture model and discrete-time survival analysis, combined using a two-step approach, which is novel in this setting, to the authors' knowledge.

RESULTS

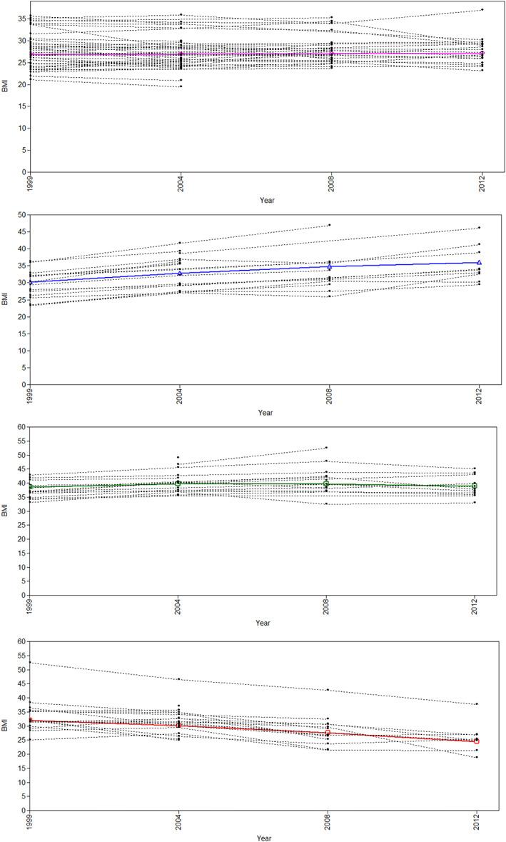
This study identified four trajectories: "stable overweight," "elevated BMI," "increasing BMI," and "decreasing BMI." No differences in mortality, cancer, or stroke risk were found between these trajectories. BMI trajectories were significantly associated with the risks of diabetes, asthma, arthritis, and heart problems.

CONCLUSIONS

These results emphasize the importance of looking at change in BMI alongside most recent BMI; BMI trajectories should be considered where possible when assessing health risks. The results suggest that established BMI thresholds should not be used in isolation to identify health risks, particularly in older adults.

摘要

目的

BMI 与发病率和死亡率有关。许多研究认为,使用单一 BMI 指标来识别健康风险存在局限性,特别是在老年人中,而 BMI 的变化可以帮助识别风险。本研究确定了不同的 BMI 轨迹及其与一系列发病率和死亡率风险的关联。

方法

英国老龄化纵向研究提供了 1998 年至 2015 年期间 BMI、死亡率和发病率的数据,样本来自 50 岁以上的成年人。本研究使用增长混合模型和离散时间生存分析,采用两步法相结合,这在该研究领域是新颖的。

结果

本研究确定了四种轨迹:“稳定超重”、“升高的 BMI”、“不断增加的 BMI”和“不断降低的 BMI”。在这些轨迹之间,死亡率、癌症或中风风险没有差异。BMI 轨迹与糖尿病、哮喘、关节炎和心脏问题的风险显著相关。

结论

这些结果强调了在评估健康风险时,同时考虑 BMI 的变化和最近的 BMI 数据的重要性。在评估健康风险时,应尽可能考虑 BMI 轨迹。研究结果表明,特别是在老年人中,不应单独使用既定的 BMI 阈值来识别健康风险。

https://cdn.ncbi.nlm.nih.gov/pmc/blobs/84aa/9546036/e80e34d16ab8/OBY-30-1898-g001.jpg

文献AI研究员

20分钟写一篇综述,助力文献阅读效率提升50倍。

立即体验

用中文搜PubMed

大模型驱动的PubMed中文搜索引擎

马上搜索

文档翻译

学术文献翻译模型,支持多种主流文档格式。

立即体验