Suppr超能文献

阿尔茨海默病血液和大脑表观基因组全基因组关联研究的跨组织分析。

Cross-tissue analysis of blood and brain epigenome-wide association studies in Alzheimer's disease.

机构信息

Division of Biostatistics, Department of Public Health Sciences, University of Miami, Miller School of Medicine, Miami, FL, 33136, USA.

Dr. John T Macdonald Foundation Department of Human Genetics, University of Miami, Miller School of Medicine, Miami, FL, 33136, USA.

出版信息

Nat Commun. 2022 Aug 18;13(1):4852. doi: 10.1038/s41467-022-32475-x.

Abstract

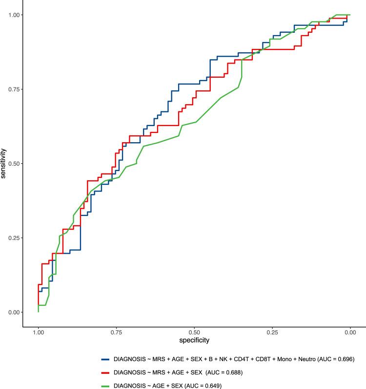
To better understand DNA methylation in Alzheimer's disease (AD) from both mechanistic and biomarker perspectives, we performed an epigenome-wide meta-analysis of blood DNA methylation in two large independent blood-based studies in AD, the ADNI and AIBL studies, and identified 5 CpGs, mapped to the SPIDR, CDH6 genes, and intergenic regions, that are significantly associated with AD diagnosis. A cross-tissue analysis that combined these blood DNA methylation datasets with four brain methylation datasets prioritized 97 CpGs and 10 genomic regions that are significantly associated with both AD neuropathology and AD diagnosis. An out-of-sample validation using the AddNeuroMed dataset showed the best performing logistic regression model includes age, sex, immune cell type proportions, and methylation risk score based on prioritized CpGs in cross-tissue analysis (AUC = 0.696, 95% CI: 0.616 - 0.770, P-value = 2.78 × 10). Our study offers new insights into epigenetics in AD and provides a valuable resource for future AD biomarker discovery.

摘要

为了从机制和生物标志物角度更好地了解阿尔茨海默病(AD)中的 DNA 甲基化,我们对 ADNI 和 AIBL 两项基于血液的 AD 大型独立研究中的血液 DNA 甲基化进行了全基因组元分析,鉴定出与 AD 诊断显著相关的 5 个 CpG 位点,这些 CpG 位点位于 SPIDR、CDH6 基因和基因间区域。一项结合了这些血液 DNA 甲基化数据集和四个大脑甲基化数据集的跨组织分析,优先确定了 97 个 CpG 位点和 10 个基因组区域,这些 CpG 位点和基因组区域与 AD 神经病理学和 AD 诊断均显著相关。使用 AddNeuroMed 数据集进行的样本外验证表明,表现最佳的逻辑回归模型包含年龄、性别、免疫细胞类型比例以及基于跨组织分析中优先 CpG 的甲基化风险评分(AUC=0.696,95%CI:0.616-0.770,P 值=2.78×10)。我们的研究为 AD 的表观遗传学提供了新的见解,并为未来的 AD 生物标志物发现提供了有价值的资源。

https://cdn.ncbi.nlm.nih.gov/pmc/blobs/1f64/9388493/aff73fb98978/41467_2022_32475_Fig1_HTML.jpg

文献AI研究员

20分钟写一篇综述,助力文献阅读效率提升50倍。

立即体验

用中文搜PubMed

大模型驱动的PubMed中文搜索引擎

马上搜索

文档翻译

学术文献翻译模型,支持多种主流文档格式。

立即体验