Suppr超能文献

2020 年荷兰与宿主、病毒和农场相关因素有关的水貂中严重急性呼吸系统综合征冠状病毒 2 感染的表现。

Manifestation of SARS-CoV-2 Infections in Mink Related to Host-, Virus- and Farm-Associated Factors, The Netherlands 2020.

机构信息

Department of Population Health Sciences, Faculty of Veterinary Medicine, Utrecht University, 3584 CL Utrecht, The Netherlands.

Institute for Risk Assessment Sciences (IRAS), Utrecht University, 3584 CM Utrecht, The Netherlands.

出版信息

Viruses. 2022 Aug 11;14(8):1754. doi: 10.3390/v14081754.

Abstract

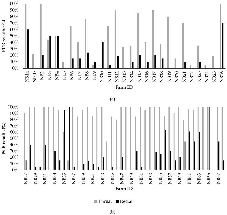
SARS-CoV-2 outbreaks on 69 Dutch mink farms in 2020 were studied to identify risk factors for virus introduction and transmission and to improve surveillance and containment measures. Clinical signs, laboratory test results, and epidemiological aspects were investigated, such as the date and reason of suspicion, housing, farm size and distances, human contact structure, biosecurity measures, and presence of wildlife, pets, pests, and manure management. On seven farms, extensive random sampling was performed, and age, coat color, sex, and clinical signs were recorded. Mild to severe respiratory signs and general diseases such as apathy, reduced feed intake, and increased mortality were detected on 62/69 farms. Throat swabs were more likely to result in virus detection than rectal swabs. Clinical signs differed between virus clusters and were more severe for dark-colored mink, males, and animals infected later during the year. Geographical clustering was found for one virus cluster. Shared personnel could explain some cases, but other transmission routes explaining farm-to-farm spread were not elucidated. An early warning surveillance system, strict biosecurity measures, and a (temporary) ban on mink farming and vaccinating animals and humans can contribute to reducing the risks of the virus spreading and acquisition of potential mutations relevant to human and animal health.

摘要

2020 年,69 家荷兰水貂养殖场爆发了 SARS-CoV-2 疫情,本研究旨在确定病毒传入和传播的风险因素,改进监测和控制措施。调查了临床症状、实验室检测结果和流行病学方面,如怀疑日期和原因、饲养方式、养殖场规模和距离、人员接触结构、生物安全措施以及野生动物、宠物、害虫和粪便管理情况。在 7 家养殖场进行了广泛的随机抽样,并记录了年龄、毛色、性别和临床症状。69 家养殖场中有 62 家出现了从轻度到重度的呼吸道症状和一般疾病,如冷漠、采食量减少和死亡率增加。与直肠拭子相比,咽喉拭子更有可能检测到病毒。临床症状在病毒簇之间存在差异,颜色较深的水貂、雄性和当年较晚感染的动物的症状更严重。一个病毒簇存在地理聚类。某些病例可能与共享人员有关,但其他传播途径,如养殖场之间的传播,仍有待进一步阐明。早期预警监测系统、严格的生物安全措施以及(暂时)禁止水貂养殖、为动物和人接种疫苗,可以降低病毒传播和获得与人畜健康相关的潜在突变的风险。

https://cdn.ncbi.nlm.nih.gov/pmc/blobs/baf9/9414453/442387b6cabe/viruses-14-01754-g001.jpg

文献AI研究员

20分钟写一篇综述,助力文献阅读效率提升50倍。

立即体验

用中文搜PubMed

大模型驱动的PubMed中文搜索引擎

马上搜索

文档翻译

学术文献翻译模型,支持多种主流文档格式。

立即体验