Suppr超能文献

突变型和双突变型结直肠癌的基因组环境

The Genomic Environment of Mutated and / Double Mutated Colorectal Cancers.

作者信息

Voutsadakis Ioannis A

机构信息

Algoma District Cancer Program, Sault Area Hospital, Sault Ste. Marie, ON P6B 0A8, Canada.

Section of Internal Medicine, Division of Clinical Sciences, Northern Ontario School of Medicine, Sudbury, ON P6B 0A8, Canada.

出版信息

J Clin Med. 2022 Aug 31;11(17):5132. doi: 10.3390/jcm11175132.

Abstract

BACKGROUND

Colorectal cancer represents the most prevalent gastrointestinal malignancy. Prognosis of metastatic disease has improved in recent years with the introduction of effective systemic therapies, but mean survival remains in the range of two to three years. Targeted therapies based on specific molecular alterations in sub-sets of colorectal cancers have the potential of contributing to therapeutic progress. and are oncogenic kinases commonly mutated in colorectal cancers and can be targeted through small molecule kinase inhibitors.

METHODS

Clinical and genomic data from two extensive series of colorectal cancers were interrogated to define the molecular characteristics of cancers with mutations with and without concomitant mutations in .

RESULTS

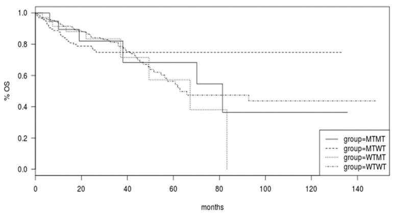
Colorectal cancers that are and double mutants represent a small minority of about 5% of colorectal cancers in the two examined series of mostly localized disease. They also represent about one third of all mutated colorectal cancers. Most mutations in are classic V600E mutations. A high prevalence of MSI and CIMP is observed in mutated colorectal cancers with or without mutations. Mutations in tumor suppressors and display a higher prevalence in mutated cancers. The prognosis of mutated colorectal cancers with or without mutations is not significantly different than counterparts with wild type . This contrasts with the known adverse prognostic effect of in metastatic disease and relates to the different prevalence of MSI in mutant localized versus metastatic colorectal cancers.

CONCLUSIONS

mutations are the defining molecular alterations in double mutant and colorectal cancers as determined by increased MSI and CIMP in subsets with and without mutations. Moreover, mutated cancers with and without mutations are characterized by the absence of mutations and a lower prevalence of APC mutations than wild type counterparts. Mismatch-repair-associated gene mutations display higher frequencies in mutated colorectal cancers. Despite the absence of prognosis implications of mutations in the studied cohorts of mostly localized cancers, such mutations could be prognostic in certain subsets. The presence of mutations in other genes, such as and high MSI status present opportunities for combination therapies.

摘要

背景

结直肠癌是最常见的胃肠道恶性肿瘤。近年来,随着有效全身治疗方法的引入,转移性疾病的预后有所改善,但平均生存期仍在两到三年范围内。基于结直肠癌亚组中特定分子改变的靶向治疗有可能推动治疗进展。是结直肠癌中常见的致癌激酶突变,可通过小分子激酶抑制剂进行靶向治疗。

方法

对来自两个广泛的结直肠癌系列的临床和基因组数据进行分析,以确定伴有或不伴有突变的突变型癌症的分子特征。

结果

在两个主要为局限性疾病的研究系列中,双突变的结直肠癌占结直肠癌的一小部分,约为5%。它们也占所有突变的结直肠癌的三分之一左右。中的大多数突变是经典的V600E突变。在伴有或不伴有突变的突变型结直肠癌中,微卫星高度不稳定(MSI)和错配修复缺陷(CIMP)的发生率较高。肿瘤抑制基因的突变在突变的癌症中更为常见。伴有或不伴有突变的突变型结直肠癌的预后与野生型的结直肠癌相比无显著差异。这与已知的在转移性疾病中的不良预后作用形成对比,并且与MSI在突变型局限性与转移性结直肠癌中的不同发生率有关。

结论

通过在伴有或不伴有突变的亚组中增加的MSI和CIMP确定,突变是双突变结直肠癌的决定性分子改变。此外,伴有和不伴有突变的突变型癌症的特征是不存在突变,并且与野生型相比,突变的发生率较低。错配修复相关基因突变在突变型结直肠癌中的频率更高。尽管在大多数为局限性癌症的研究队列中突变对预后没有影响,但此类突变在某些亚组中可能具有预后意义。其他基因如**的突变和高MSI状态为联合治疗提供了机会。

https://cdn.ncbi.nlm.nih.gov/pmc/blobs/2f6e/9456575/897160ab66a8/jcm-11-05132-g001.jpg

文献AI研究员

20分钟写一篇综述,助力文献阅读效率提升50倍。

立即体验

用中文搜PubMed

大模型驱动的PubMed中文搜索引擎

马上搜索

文档翻译

学术文献翻译模型,支持多种主流文档格式。

立即体验