Suppr超能文献

非流行地区鼻咽癌患者的 EBV 和 PD-L1 表达分析。

Analysis of Epstein-Barr Virus (EBV) and PD-L1 Expression in Nasopharyngeal Carcinoma Patients in a Non-Endemic Region.

机构信息

Clinical Oncology Department, Barretos Cancer Hospital, Barretos 14784-400, SP, Brazil.

Pathology Department, Barretos Cancer Hospital, Barretos 14784-400, SP, Brazil.

出版信息

Int J Mol Sci. 2022 Oct 3;23(19):11720. doi: 10.3390/ijms231911720.

Abstract

BACKGROUND

The purpose of this study was to evaluate the status of Epstein-Barr virus (EBV) infection and the expression of programmed cell death ligand-1 (PD-L1) in tumor samples from patients with nasopharyngeal carcinoma (NPC).

METHODS

Evaluation of EBV infection was performed through the detection of EBV-encoded small ribonucleic acids (EBER) by in situ hybridization, and PD-L1 expression was performed through immunohistochemistry.

RESULTS

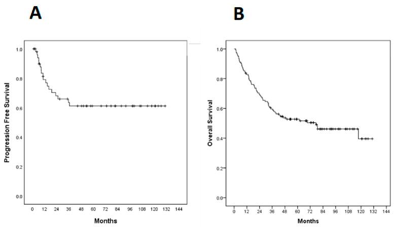
In total, 124 samples were evaluated for EBER and 120 for PD-L1 expression. A total of 86.3% of cases were positive for EBER and 55.8% were positive for PD-L1. There was a correlation between EBER positivity and the presence of undifferentiated carcinoma histology ( = 0.007) as well as the absence of tobacco history ( = 0.019). There was a correlation between PD-L1 expression and EBER positivity ( = 0.004). There was no statistically significant difference between overall survival (OS) and EBER ( = 0.290) or PD-L1 ( = 0.801) expression.

CONCLUSIONS

This study corresponds to one of the largest cohorts of NPC in a non-endemic region. Phase III studies with checkpoint inhibitors are ongoing and may provide more data about the role of PD-L1 expression in this disease.

摘要

背景

本研究旨在评估鼻咽癌(NPC)患者肿瘤样本中 EBV 感染和程序性死亡配体 1(PD-L1)表达的状况。

方法

通过原位杂交检测 EBV 编码的小 RNA(EBER)来评估 EBV 感染,通过免疫组织化学检测 PD-L1 表达。

结果

共评估了 124 例 EBER 和 120 例 PD-L1 表达样本。EBER 阳性率为 86.3%,PD-L1 阳性率为 55.8%。EBER 阳性与未分化癌组织学存在( = 0.007)以及无烟草史( = 0.019)相关。PD-L1 表达与 EBER 阳性相关( = 0.004)。EBER( = 0.290)或 PD-L1( = 0.801)表达与总生存期(OS)之间无统计学差异。

结论

本研究是在非流行地区进行的最大 NPC 队列之一。正在进行针对检查点抑制剂的 III 期研究,可能会提供有关 PD-L1 表达在该疾病中的作用的更多数据。

https://cdn.ncbi.nlm.nih.gov/pmc/blobs/0e3a/9569432/ac006ebae2d2/ijms-23-11720-g001.jpg

文献AI研究员

20分钟写一篇综述,助力文献阅读效率提升50倍。

立即体验

用中文搜PubMed

大模型驱动的PubMed中文搜索引擎

马上搜索

文档翻译

学术文献翻译模型,支持多种主流文档格式。

立即体验